系列:筛选化合物,构建单元分子式:C13H15NO3CAS登记号:15574-49-9纯度:95%以上状态:固体IUPAC命名:5-羟基-1,2-二甲基-1H-吲哚-3-甲酸乙酯结构标识符SMILES:CCOC(=O)c1c(C)n(C)c2ccc(
系列:筛选化合物,构建单元化学式:C10H11N3SCAS登记号:4994-88-1纯度:≥95%形态:固体IUPAC命名:8-硫杂-4,6-二氮杂三环[7.4.0.02,7]十三碳-1(9),2(7),3,5-四烯-3-胺结构标识符SMILES
产品系列:筛选化合物,构建单元分子式:C10H9ClN2SCAS登记号:290835-51-7纯度:95%以上状态:固体IUPAC命名:5-[(4-氯苯基)甲基]-1,3-噻唑-2-胺 结构标识符:SMILES:Nc1ncc(Cc2ccc(Cl)cc2)
作为SouthernBiotech在中国的区域总代理,艾美捷科技强烈推荐SouthernBiotech热销产品山羊Fab抗大鼠Ig,小鼠ads-无偶联。
作为SouthernBiotech在中国的区域总代理,艾美捷科技强烈推荐SouthernBiotech热销产品山羊抗人IgG(H + L),多物种SP ads-无偶联。
?作为SouthernBiotech在中国的区域总代理,艾美捷科技强烈推荐SouthernBiotech热销产品山羊抗人Ig Fab-无偶联。
作为SouthernBiotech在中国的区域总代理,艾美捷科技强烈推荐SouthernBiotech热销产品山羊抗牛血清白蛋山羊抗人IgG Fc,小鼠/牛/马SP ads-无偶联。
作为SouthernBiotech在中国的区域总代理,艾美捷科技强烈推荐SouthernBiotech热销产品山羊抗牛血清白蛋白,人血清白蛋白ads-无偶联。
作为SouthernBiotech在中国的区域总代理,艾美捷科技强烈推荐SouthernBiotech热销产品山羊F(ab')2抗人 λ-无偶联。
作为SouthernBiotech在中国的区域总代理,艾美捷科技强烈推荐SouthernBiotech热销产品山羊抗人Lambda-无偶联。
作为SouthernBiotech在中国的区域总代理,艾美捷科技强烈推荐SouthernBiotech热销产品山羊抗人Kappa,猴子ads-无偶联。
作为SouthernBiotech在中国的区域总代理,艾美捷科技强烈推荐SouthernBiotech热销产品山羊F(ab')2抗人Kappa-无偶联。
作为SouthernBiotech在中国的区域总代理,艾美捷科技强烈推荐SouthernBiotech热销产品山羊抗人Kappa-无偶联。
4-(乙氨基)-6-[(丙-2-基)氨基]-1,3,5-三嗪-2-硫醇是一种结构特定的1,3,5-三嗪类衍生物,其分子结构以1,3,5-三嗪环为母核,在2位被硫醇基(-SH)取代,在4位和6位分别被乙氨基和异丙氨基取
7-羟基-3-苯基-4H-铬素-4-酮(7-Hydroxy-3-phenyl-4H-chromen-4-one)是一种重要的黄酮类(Flavonoid)有机化合物,其结构以苯并吡喃酮(即色原酮)为母核,在3位连接有苯基,7位连接有酚羟基
3-乙酰基-7-(二乙氨基)-2H-铬-2-酮(3-Acetyl-7-(diethylamino)-2H-chromen-2-one)是一种结构精巧的香豆素类衍生物,其分子结构融合了多个重要的功能基团,使其在荧光探针和有机功能
6-氯-2,4-二氢-1H-3,1-苯并恶嗪-2,4-二酮是一种结构独特且具有重要合成价值的杂环化合物。其分子结构以一个苯环与一个恶嗪二酮环并合而成,同时在苯环的6号位带有氯原子取代
3,5-二甲基-4-(苯基磺酰基)-1H-吡唑是一种结构新颖、具有重要研究价值的吡唑类有机化合物。其分子结构巧妙地融合了多个关键药效团:一个吡唑母核、两个给电子的甲基(位于3,5位
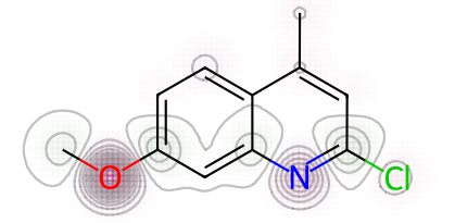
2-氯-7-甲氧基-4-甲基喹啉是一种重要的喹啉类有机合成中间体和化学砌块。其分子结构融合了喹啉母核、氯原子、甲氧基和甲基等多个官能团,这种多官能团的特性使其在药物化学和
3-硝基苯-1,2-二羧腈(3-Nitrobenzene-1,2-dicarbonitrile)是一种重要的有机合成中间体和化学砌块。其分子结构由一个苯环、两个相邻的氰基(-CN)以及一个硝基(-NO?)构成,这种独特的
4-(萘-2-基)-1,3-噻唑-2-胺是一种具有重要研究价值的有机化合物,其结构由一个2-氨基噻唑核心与一个2-萘基取代基在第四位连接而成。这种分子结构巧妙地融合了噻唑环的富电子特
作为SouthernBiotech在中国的区域总代理,艾美捷科技强烈推荐SouthernBiotech热销产品山羊抗人IgA,小鼠/牛/马SP ads-无偶联。
作为SouthernBiotech在中国的区域总代理,艾美捷科技强烈推荐SouthernBiotech热销产品山羊F(ab')2抗人IgA-无偶联
作为SouthernBiotech在中国的区域总代理,艾美捷科技强烈推荐SouthernBiotech热销产品山羊抗人IgA-无偶联。
作为SouthernBiotech在中国的区域总代理,艾美捷科技强烈推荐SouthernBiotech热销产品山羊抗人IgG Fc-无偶联。
微信扫码在线客服