在糖脂生物学与代谢研究领域,结构明确且具有同位素标记的糖鞘脂标准品对于深入探索相关代谢通路至关重要。N-硬脂酰(D3)-神经酰胺三己糖苷(产品编号:71-1055)作为一种精心设计的氘代三糖基神经酰胺,在研究糖鞘脂代谢动力学和疾病机制方面展现出独特的应用价值。

作为Larodan在中国的区域总代理,艾美捷科技强烈推荐Larodan热销产品N-硬脂酰(D3)-神经酰胺三己糖苷。产品仅用于科研,不可用于临床诊断。
| 产品名称 | 货号 | 详情 |
| N-硬脂酰(D3)-神经酰胺三己糖苷 | 71-1055-35 | 查看 |
一、分子结构特征与氘代标记设计
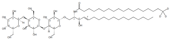
该化合物(CAS: 2692623-80-4)具有精确的化学结构,其分子式为 C54H98D3NO18,分子量为 1055.4。这一结构设计体现了现代脂质研究中对分子精确性的追求:
核心结构特征
1. 三糖头基的精确组装:分子包含一个精心构建的三糖结构,由β-葡萄糖作为核心,依次连接β-半乳糖和α-半乳糖,形成Galα1→4Galβ1→4Glcβ1→Cer的独特序列。这种特定的糖基连接模式使其成为研究相关糖鞘脂代谢的理想模型。
2. 特征性神经酰胺骨架:采用d18:1鞘氨醇骨架(含4E-双键),通过酰胺键与硬脂酸(18:0)连接,构成了典型的神经酰胺核心结构。
3. 精准的氘代标记:在硬脂酸的末端甲基(C18位)引入三个氘原子(D3),这一设计在不改变分子化学性质的前提下,为其提供了独特的质谱特征,极大方便了后续的分析检测。
二、结构优势与研究价值
这种精心的结构设计使该分子在研究中具有多重优势:
分析检测的灵敏性
氘代标记为分子提供了3Da的质量偏移,使其在质谱分析中能够与内源性分子清晰区分,显著提高了检测的灵敏度和准确性。
代谢研究的示踪能力
作为稳定的同位素标记物,该分子能够有效追踪糖鞘脂在生物体内的代谢命运,包括其合成、降解和转化途径,为研究相关代谢网络提供了有力工具。
结构完整性与功能性
完整保留的三糖结构和神经酰胺骨架确保了其与天然分子具有相似的生物活性和膜结合特性,使实验结果更具生理相关性。
三、生物学功能与研究意义
三己糖基神经酰胺在生物系统中具有重要的生物学意义:
代谢通路的关键节点
该分子是糖鞘脂代谢通路中的重要中间体,特别是在葡萄糖鞘脂代谢中占据核心位置,对维持细胞膜结构和功能稳定性具有重要作用。
疾病研究的生物标志物
在法布里病等溶酶体贮积症的研究中,相关糖鞘脂的异常积累已成为疾病诊断和治疗监测的重要指标。
膜生物学研究工具
作为复杂的糖鞘脂,该分子可用于研究糖脂在膜微域(如脂筏)中的分布及其对膜蛋白功能的调节作用。
四、质量控制与研究应用
本产品提供>98% 的高纯度标准,以固体或溶液形式提供,并配备详细的分析证书,确保实验数据的可靠性。建议在冷冻条件下储存,以保持其长期稳定性。
在实际研究中,该化合物的应用价值主要体现在:
代谢动力学研究
作为示踪剂,用于研究糖鞘脂的代谢速率、组织分布和转化途径,特别是在疾病模型中的代谢异常。
质谱分析内标
在脂质组学分析中作为精确的定量内标,用于测定生物样本中三己糖基神经酰胺的含量,提高分析方法的准确性。
疾病机制研究
在溶酶体贮积症等疾病模型中,用于探索糖鞘脂代谢异常的分子机制和潜在的治疗策略。
五、研究前景展望
随着质谱技术和分子生物学方法的进步,N-硬脂酰(D3)-神经酰胺三己糖苷将在多个前沿研究领域展现其独特价值:
精准医学研究
作为疾病生物标志物,可能为相关遗传代谢病的早期诊断和治疗监测提供新的技术支撑。
药物研发平台
在靶向糖鞘脂代谢的药物开发中,作为药效评估和代谢研究的关键工具分子。
基础科学研究
继续为阐明糖鞘脂的生物学功能和代谢调控机制提供重要的研究手段。
作为Larodan 在中国区总代理,艾美捷科技有限公司将为中国客户提供全面的Larodan 产品以及客户订制化服务,欢迎大家随时联系我们。

微信扫码在线客服