在糖脂生物学研究领域,同位素标记的糖鞘脂已成为探索复杂代谢通路的重要工具。Palmitoyl-(methyl-D3)-乳糖基神经酰胺(产品编号:71-1071)作为一种结构明确的氘代乳糖基神经酰胺,在研究糖脂代谢动力学和功能机制方面展现出独特的应用价值。

作为Larodan在中国的区域总代理,艾美捷科技强烈推荐Larodan热销产品Palmitoyl-(methyl-D3)-乳糖基神经酰胺。产品仅用于科研,不可用于临床诊断。
| 产品名称 | 货号 | 详情 |
| Palmitoyl-(methyl-D3)-乳糖基神经酰胺 | 71-1071-1 | 查看 |
一、分子结构特征与同位素标记策略
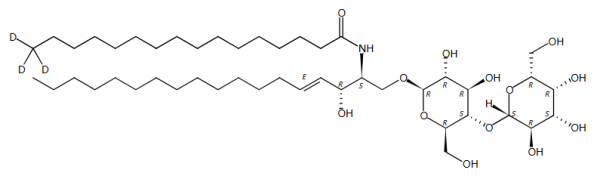
该化合物(CAS: 2097249-92-6)具有精确的化学结构,其分子式为 C46H84D3NO13,分子量为 865.2。这一结构设计体现了现代脂质研究中对分子精确性的追求:
核心结构特征
1. 乳糖头基的完整性:分子包含完整的乳糖二糖结构(Galβ1→4Glc),通过β-糖苷键与神经酰胺核心连接。这种特定的糖基结构使其成为研究乳糖基神经酰胺相关代谢通路的理想模型。
2. 特征性神经酰胺骨架:采用d18:1鞘氨醇骨架(含4E-双键),通过酰胺键与棕榈酸连接,构成了典型的神经酰胺核心结构。
3. 精准的氘代标记设计:在棕榈酸链的末端甲基引入三个氘原子(-CD3),这一精巧设计在不改变分子化学性质和生物学功能的前提下,为其提供了独特的质谱特征,便于后续的检测与分析。
二、结构优势与研究价值
这种精心的结构设计使该分子在代谢研究中具有多重优势:
分析检测的特异性
氘代标记产生的质量差异使该分子在质谱分析中能够与内源性乳糖基神经酰胺清晰区分,极大提高了检测的特异性和准确性,有效避免背景干扰。
代谢示踪的可靠性
作为稳定的同位素标记物,该分子能够准确示踪乳糖基神经酰胺在生物体内的代谢命运,包括其合成、转化和降解途径,为研究相关代谢网络提供了可靠工具。
生物等效性的保持
完整的乳糖头基和神经酰胺骨架确保了其与天然分子具有相似的理化性质和生物活性,使实验结果更具生理相关性。
三、生物学功能与研究意义
乳糖基神经酰胺在生物系统中具有重要的生物学功能:
代谢通路的核心节点
该分子是复杂糖鞘脂合成通路中的重要前体,特别是在神经节苷脂和全球糖苷脂的生物合成中发挥关键作用。
细胞信号转导介质
研究表明,乳糖基神经酰胺参与多种细胞信号转导过程,包括细胞增殖、分化和炎症反应的调控。
膜生物学功能
作为重要的膜脂质成分,参与维持膜结构和功能的稳定性,并在膜微域的形成和功能调节中发挥作用。
四、质量控制与研究应用
本产品提供>98% 的高纯度标准,以固体形式提供,并配备详细的分析证书,确保实验数据的可靠性。建议在冷冻条件下储存,以保持其长期稳定性。
在实际研究中,该化合物的应用价值主要体现在:
代谢动力学研究
作为示踪剂,用于研究乳糖基神经酰胺的代谢速率、组织分布和转化途径,特别是在疾病状态下的代谢异常。
质谱分析内标
在脂质组学分析中作为精确的定量内标,用于测定生物样本中乳糖基神经酰胺的含量,显著提高分析方法的准确度。
疾病机制探索
在代谢性疾病和肿瘤研究中,用于探索乳糖基神经酰胺代谢异常的分子机制和病理生理意义。
五、研究前景展望
随着分析技术的不断进步,Palmitoyl-(methyl-D3)-乳糖基神经酰胺将在多个前沿研究领域展现其独特价值:
精准医学研究
作为疾病生物标志物研究的参考标准,可能为相关疾病的早期诊断和治疗监测提供新的技术支撑。
药物研发应用
在靶向糖脂代谢的药物开发中,作为药效评估和代谢研究的关键工具分子。
基础机制研究
继续为阐明乳糖基神经酰胺的生物学功能和代谢调控机制提供重要的研究手段。
作为Larodan 在中国区总代理,艾美捷科技有限公司将为中国客户提供全面的Larodan 产品以及客户订制化服务,欢迎大家随时联系我们。
微信扫码在线客服