3,7,11,15-四甲基十六烷酰辅酶A三铵盐是一种具有重要生物学意义的有机化合物,在生物化学与医学研究领域扮演着关键角色。本文旨在对其基本信息、化学特性及研究价值进行系统梳理。

作为Larodan在中国的区域总代理,艾美捷科技强烈推荐Larodan热销产品3,7,11,15-四甲基十六烷酰辅酶A三铵盐。产品仅用于科研,不可用于临床诊断。
| 产品名称 | 货号 | 详情 |
3,7,11,15-四甲基十六烷酰辅酶A三铵盐 | 19-1604-1 | 查看 |
一、基本信息与标识
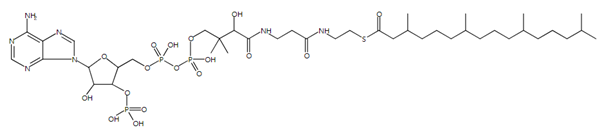
该化合物的系统命名为S-(3,7,11,15-四甲基十六烷酸)辅酶A,更广为人知的名称是植烷酰辅酶A 或植烷酸的辅酶A酯。其产品编号为19-1604,CAS注册号为146622-45-9。分子式确定为C41H74N7O17P3S,分子量约为1062.05 g/mol。
二、化学结构解析
从其复杂的SMILES字符串和等构SMILES表示可以解读出其精细的化学结构。该分子核心为经典的辅酶A结构,包含腺嘌呤核苷、磷酸基团以及泛酰巯基乙胺单元。其关键特征在于硫酯键连接的长链酰基部分——即植烷酰基。该酰基链由16个碳原子构成,但其并非直链,而是在第3、7、11、15位碳原子上各连接一个甲基支链,形成了一个高度分支的疏水结构。这种独特的支链结构是其生物学功能的分子基础。
三、产品信息与研究应用
作为商业化科研试剂,该产品通常以三铵盐的形式提供,形态为固体,纯度高于95%,需在冷冻条件下储存以确保稳定性。它通常以纯品形式供应,常见规格包括1毫克和5毫克。
四、生物学意义与研究价值
植烷酰辅酶A的核心重要性在于它是过氧化物酶体α-氧化代谢途径中的关键中间体。在人体中,来源于膳食(如反刍动物脂肪和乳制品)的植烷酸不能通过线粒体β-氧化进行代谢,因其β-碳原子上的甲基阻碍了该过程。因此,植烷酸首先被激活生成植烷酰辅酶A,随后在过氧化物酶体中启动α-氧化,将其逐步分解。
对这一分子及其代谢途径的研究具有至关重要的医学意义。Refsum病是一种罕见的常染色体隐性遗传病,其病因正是由于植烷酰辅酶A羟化酶(α-氧化途径中的第一个酶)的缺陷,导致植烷酸和植烷酰辅酶A在体内异常蓄积,引发神经系统损害、视网膜色素变性和心脏异常等一系列严重症状。因此,植烷酰辅酶A作为该疾病的病理生理学核心分子,成为研究其发病机制、开发诊断方法以及筛选潜在治疗策略的重要工具。
Larodan 公司成立于 1963 年,坐落于瑞典斯德哥尔摩的卡罗林斯卡学院(诺贝尔奖委员会所在地)中,主要从事高纯度脂类的开发,制造和销售,产品包括脂肪酸,脂肪酸脂,甘油三酯,蜡脂,磷脂,鞘脂等,也提供稳定的放射性同位素化合物,NMR 消耗品和特种生化试剂以及环境和法医标准等,提供从ug 到 g 级包装,标准纯度高于99%。所有产品都附有分析证书,拥有很高的性价比。
作为Larodan 在中国区总代理,艾美捷科技有限公司将为中国客户提供全面的Larodan 产品以及客户订制化服务,欢迎大家随时联系我们。

微信扫码在线客服