在生命错综复杂的分子图景中,有一类物质不仅构筑细胞屏障,更扮演着细胞“识别码”与“通讯兵”的关键角色,它们就是糖鞘脂。其中,C16球蛋白三糖鞘脂(Globotriaosylceramide,Gb3,d18:1/16:0)以其独特的糖链结构和重要的生物学功能,成为连接基础生物化学与人类疾病治疗的核心分子之一。本文将深入探讨其化学结构、生理与病理角色,以及在前沿科学研究与药物开发中的广泛应用。

作为Larodan在中国的区域总代理,艾美捷科技强烈推荐Larodan热销产品C16球蛋白三糖鞘脂(d18:1/16:0)。产品仅用于科研,不可用于临床诊断。
| 产品名称 | 货号 | 详情 |
| C16球蛋白三糖鞘脂(d18:1/16:0) | 56-5216-45 | 查看 |
一、化学结构:精密的三维识别密码
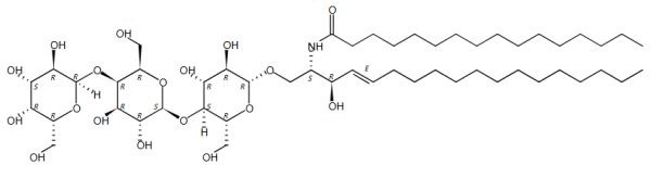
C16Gb3的分子式为C52H97NO18,分子量高达1024.32,其结构远比普通的鞘磷脂复杂。从脂质编号d18:1/16:0可知,其疏水尾部由熟悉的鞘氨醇(d18:1)与十六烷酸(16:0,棕榈酸)通过酰胺键构成,这为其锚定在细胞膜脂质双层中提供了基础。
然而,C16Gb3的真正特性在于其伸向细胞外环境的亲水头部。这个头部不是一个简单的磷酸胆碱,而是一个精密的三糖单元,包括:β-葡萄糖(Glc)、β-半乳糖(Gal)和α-半乳糖(Gal),以特定的顺序(Glcβ1-4Galβ1-4Galα1-)连接。这个独特的“球蛋白三糖”结构,如同一个高精度的三维条形码,能被特定的蛋白质(如受体或毒素)所识别,从而介导一系列重要的生物事件。
高纯度(>98%)的C16Gb3为固态,需冷冻保存以确保其糖基部分的稳定性。其复杂的立体化学结构可通过SMILES字符串和全球唯一的InChIKey(MGOOTGNGBOPVIV-VVNLPLDBSA-N)进行精确数字化描述,这是确保其在全球范围内研究可重复性的关键。
二、生物学功能与病理意义:双面角色的精密平衡
C16Gb3在正常生理与疾病病理中扮演着截然不同却又紧密相关的双重角色:
1.正常生理功能:细胞社交的“名片”
作为细胞膜表面糖鞘脂的重要成员,Gb3是构成细胞表面“糖萼”的重要组成部分。它参与细胞间的识别、粘附与信号转导。在正常生理状态下,特定结构的Gb3存在于多种细胞表面,可能参与维持细胞的功能与稳态,是细胞进行社会性交流的分子语言之一。
2.病理核心角色:法布雷病的“罪魁祸首”
C16Gb3最著名的角色是在一种罕见的X连锁遗传性代谢疾病——法布雷病中。患者由于编码α-半乳糖苷酶A(α-GalA)的基因发生突变,导致该酶活性缺乏或完全缺失。α-GalA的正常功能是水解Gb3末端那个α-半乳糖残基。酶活性的丧失使得Gb3(包括C16:0等多种形式)无法被正常代谢降解,从而在全身多种组织的溶酶体中大量累积,特别是血管内皮细胞、肾脏足细胞、心肌细胞和神经细胞。
这种累积是进行性的,最终导致广泛的器官损伤。患者常表现为四肢剧痛(肢端感觉异常)、少汗、皮肤血管角化瘤,并逐渐发展为肾功能衰竭、心力衰竭、脑卒中早发等危及生命的并发症。因此,C16Gb3在体内的水平直接反映了法布雷病的疾病负荷,是其诊断和疗效监测的核心生物标志物。
3.感染介导者:病原体入侵的“特洛伊木马”
某些病原体进化出利用Gb3作为受体入侵细胞的能力。最著名的例子是志贺毒素产生型大肠杆菌(如O157:H7)产生的志贺毒素,以及HIV-1病毒。这些病原体的毒素或病毒颗粒表面的蛋白能特异性识别并结合细胞膜上的Gb3,随后通过内化作用进入细胞,引发疾病(如出血性结肠炎、溶血性尿毒综合征)。在这里,Gb3不幸成为了敌人利用的“门户”。
三、科研与应用:从诊断治疗到前沿探索
高纯度的C16Gb3标准品(如产品号56-5216,提供500μg的小包装以满足精密分析需求)是现代生物医学研究中不可或缺的工具:
*疾病诊断与生物标志物分析:在临床检验和研究中,利用质谱等技术精确测量血浆、尿液或组织活检样本中的C16Gb3含量,是诊断法布雷病、评估疾病严重程度及进行新生儿筛查的金标准。
*酶替代疗法的疗效监测:法布雷病的主要治疗手段是酶替代疗法,即定期为患者输注重组人α-半乳糖苷酶A。治疗是否有效,关键指标之一就是监测患者体内Gb3(包括C16:0)水平的下降情况。高纯度C16Gb3作为质谱分析中的内标或标准品,在此过程中至关重要。
*药物研发与机制研究:
*在开发新一代法布雷病疗法(如分子伴侣疗法、底物减少疗法、基因治疗)时,C16Gb3是评估药效的核心指标。
*在微生物学与免疫学研究中,科学家利用包被了Gb3的模型细胞或生物传感器,来研究志贺毒素的作用机制,并筛选可能的抑制剂或中和抗体。
*在细胞生物学中,研究人员通过外源性添加Gb3或调控其内源性合成,来探究其在脂筏功能、细胞信号转导以及内吞运输过程中的作用。
*结构生物学与药物设计:通过X射线晶体学或冷冻电镜技术,解析C16Gb3与志贺毒素B亚单位或α-半乳糖苷酶A的复合物结构,能够揭示相互作用的分子细节,为设计高亲和力的竞争性抑制剂或改良的酶疗法提供结构基础。
四、未来展望与结语
随着生物技术的飞速发展,对C16Gb3的研究正朝着更加精准和深入的方向迈进。单细胞脂组学技术有望揭示Gb3在不同细胞类型中的异质性积累;基于CRISPR的基因编辑技术为在细胞和动物模型中精确模拟法布雷病提供了可能;而对Gb3合成与代谢网络的更深入理解,将催生更多创新的治疗策略。
总而言之,C16球蛋白三糖鞘脂(d18:1/16:0)的故事,是一个从精妙化学结构到关键生物学功能,再到重大人类疾病治疗靶点的完美例证。它既是生命正常运作所需的精密元件,也是疾病发生时累积的“毒素”,更是病原体入侵的帮凶。对这个分子的持续探索,不仅深化了我们对细胞通讯和代谢疾病的理解,更直接推动了罕见病诊断与治疗的进步。在生命科学探索未知的征程中,C16Gb3将继续作为一个重要的里程碑,指引着我们向着更健康的目标迈进。
作为Larodan 在中国区总代理,艾美捷科技有限公司将为中国客户提供全面的Larodan 产品以及客户订制化服务,欢迎大家随时联系我们。
微信扫码在线客服