心磷脂C14:0铵盐是一种结构明确、高纯度的合成心磷脂分子,在生物膜研究,特别是线粒体功能研究中具有不可或缺的价值。本文旨在系统介绍其化学特性、结构及其在科学研究中的重要性。

作为Larodan在中国的区域总代理,艾美捷科技强烈推荐Larodan热销产品心磷脂C14:0铵盐。产品仅用于科研,不可用于临床诊断。
| 产品名称 | 货号 | 详情 |
心磷脂C14:0铵盐 | 37-0114-7 | 查看 |
一、基本信息与化学特性
该化合物的产品编号为37-0114,CAS号为63988-20-5。其系统名称描述了复杂的核心结构以及与两个铵分子形成的盐。分子式为C65H126O17P2·2H3N,分子量约为1275.7 g/mol。作为一种高度纯化的试剂,其纯度超过99%,以固体形态提供,并在冷冻条件下储存以确保稳定性。
二、分子结构解析
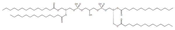
心磷脂(Cardiolipin)是一种独特的双磷脂酰甘油结构。从其SMILES和等构SMILES表示可以清晰地解读出其分子构成:
1. 核心骨架:分子中心是一个甘油单元,其三个羟基中的两个分别与两个磷酸基团相连,这两个磷酸基团又各自连接另一个甘油分子,从而形成一个拥有四个酰基链连接位点的独特双磷脂酸结构。中间的连接桥是一个额外的甘油单元。
2. 酰基链:此特定变体为“C14:0”,意味着所有四个酰基链均为完全饱和的十四烷酸(肉豆蔻酸)。这种均一的链长和饱和度使其成为基础研究的理想模型分子。
3. 手性中心与铵盐:其等构SMILES中的立体化学标识(如“t60-,61-”)表明分子中存在特定的手性中心(R构型),这对于其生物学功能至关重要。此外,分子中的两个磷酸基各带一个负电荷,通过结合两个铵离子(2H3N)形成稳定的盐,增强了其在实验体系中的溶解性和稳定性。
三、生物学意义与应用价值
心磷脂几乎 exclusively 存在于真核细胞的线粒体内膜中,是其标志性磷脂。
*线粒体功能的核心调节者:心磷脂对于线粒体的能量生产至关重要。它富集于线粒体内嵴,为电子传递链(ETC)的多个蛋白质复合物(如复合物I、III、IV)以及ADP-ATP转运酶提供必要的脂质环境,从而优化氧化磷酸化效率。
*细胞凋亡的触发器:在细胞应激条件下,心磷脂的组成和分布发生变化,它从线粒体内膜转移到外膜,与促凋亡蛋白如Bid和细胞色素c结合,促进线粒体外膜透化,从而启动细胞凋亡程序。
*作为研究工具:此C14:0均一链长的心磷脂铵盐,因其结构明确、纯度极高,被广泛用作:
-分析标准品:在脂质组学研究中,用于色谱质谱分析的定性与定量参照。
-功能研究模型:在体外膜模型(如脂质体)中,用于研究心磷脂与膜蛋白的相互作用、对膜流动性的影响及其在细胞信号转导中的具体作用。
-疾病模型研究:心磷脂代谢异常与多种疾病相关,如巴氏综合征(一种严重的线粒体疾病)、心力衰竭、神经退行性疾病(如帕金森病)和糖尿病。使用此类高纯度标准品,有助于科学家深入探究这些疾病的分子机制。
Larodan 公司成立于 1963 年,坐落于瑞典斯德哥尔摩的卡罗林斯卡学院(诺贝尔奖委员会所在地)中,主要从事高纯度脂类的开发,制造和销售,产品包括脂肪酸,脂肪酸脂,甘油三酯,蜡脂,磷脂,鞘脂等,也提供稳定的放射性同位素化合物,NMR 消耗品和特种生化试剂以及环境和法医标准等,提供从ug 到 g 级包装,标准纯度高于99%。所有产品都附有分析证书,拥有很高的性价比。
作为Larodan 在中国区总代理,艾美捷科技有限公司将为中国客户提供全面的Larodan 产品以及客户订制化服务,欢迎大家随时联系我们。

微信扫码在线客服