在细胞膜的复杂景观中,糖鞘脂如同精密的分子天线,伸向细胞外空间,负责识别、粘附与信号传导。其中,C18球蛋白三糖鞘脂(Globotriaosylceramide,Gb3,d18:1/18:0)作为一种结构特定的Gb3亚型,在生命活动的正常维系与特定疾病的发生发展中扮演着举足轻重的双重角色。它不仅是我们理解细胞间通讯的钥匙,更是攻克一种罕见遗传病——法布雷病——的核心焦点。

作为Larodan在中国的区域总代理,艾美捷科技强烈推荐Larodan热销产品C18球蛋白三糖鞘脂(d18:1/18:0)。产品仅用于科研,不可用于临床诊断。
| 产品名称 | 货号 | 详情 |
| C18球蛋白三糖鞘脂(d18:1/18:0) | 56-5218-45 | 查看 |
一、化学结构:稳定与识别的分子基础
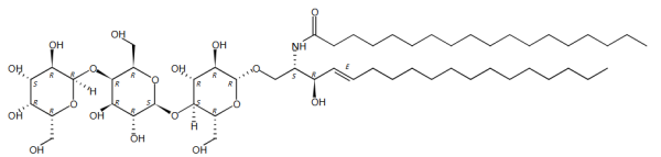
C18Gb3的分子式为C54H101NO18,分子量高达1052.38。其结构由三部分精巧构成:
1.疏水尾部:由鞘氨醇碱基(d18:1,含18个碳和一个双键)与完全饱和的十八烷酸(即硬脂酸,18:0)通过酰胺键连接而成。这条长而饱和的C18脂肪酸链,赋予了分子强大的疏水相互作用力,使其能更稳固地锚定在细胞膜的脂质双层中,并增强了与胆固醇的亲和力,有助于在膜上形成特定的功能微区——"脂筏"。
2.亲水头部:一个延伸出去的球蛋白三糖链,其序列为葡萄糖-半乳糖-半乳糖(Glcβ1-4Galβ1-4Galα1-)。这个三糖结构是一个独特的、可被特异性识别的"糖密码",它决定了C18Gb3的生物学命运,是它与特定蛋白质(如毒素、抗体或酶)相互作用的分子基础。
这种"刚性锚定"与"特异性头基"的结合,使得C18Gb3成为细胞膜上一个稳定而显眼的标志物。高纯度(>98%)的C18Gb3标准品为固态,需冷冻保存,其精确的立体构型由InChIKey(KWGVNZWSEWAOMI-DHCJWVHISA-N)唯一确定,为全球范围内的可重复研究提供了保障。
二、生物学功能与病理核心:从正常功能到致病元凶
1.正常生理功能:潜在的通讯使者
尽管其病理角色更为人所知,但C18Gb3在特定细胞类型和发育阶段可能发挥着正常的生理功能。作为细胞表面糖萼的组成部分,它可能参与细胞间的短暂粘附、识别事件,并在某些尚未完全阐明的信号转导通路中扮演角色。其在健康组织中的特定分布模式,暗示它可能是一种细胞类型或功能状态的标识符。
2.病理核心角色:法布雷病中的主要蓄积者
C18Gb3最核心的生物学意义体现在法布雷病中。这是一种X连锁遗传的溶酶体贮积症,病因是编码α-半乳糖苷酶A(α-GalA)的基因发生突变。该酶负责水解Gb3分子末端的α-半乳糖残基,是Gb3代谢降解的关键一步。
当α-GalA酶活性缺失时,摄入的Gb3(包括C18:0等多种形式)无法被有效分解,从而在全身多种组织的溶酶体中逐渐累积。值得注意的是,C18Gb3是法布雷病患者组织中蓄积的主要Gb3亚型之一。其长链饱和脂肪酸特性可能使其更易于在溶酶体这种酸性环境中与某些脂质形成稳定的微区,从而加剧了其累积的稳定性和对细胞的毒性。
这种进行性的累积最终导致广泛的器官功能障碍:
肾脏:在肾小球足细胞和肾小管上皮细胞中累积,导致蛋白尿并最终进展为肾衰竭。
心脏:在心肌细胞、心脏传导系统和瓣膜成纤维细胞中累积,引起左心室肥厚、心律失常、心脏瓣膜病,是患者晚期主要死因。
神经系统:在血管内皮细胞和神经细胞中累积,引发肢端剧烈疼痛(肢端感觉异常)、少汗以及早发性脑卒中。
皮肤:表现为特征性的皮肤血管角化瘤。
因此,C18Gb3的组织水平直接反映了法布雷病的疾病负荷和严重程度。
3.病理帮凶:病原体入侵的分子门户
某些病原体巧妙地"劫持"了Gb3作为它们入侵细胞的受体。最典型的例子是产志贺毒素的大肠杆菌(如O157:H7)。其产生的志贺毒素的B亚单位能够高亲和力地特异性结合细胞膜上的C18Gb3。这种结合触发毒素-受体复合物的内吞,使毒素进入细胞,最终导致细胞蛋白合成终止而死亡,引发严重的出血性结肠炎和威胁生命的溶血性尿毒综合征。
三、科研与应用:从诊断治疗到前沿探索
高纯度的C18Gb3标准品(产品号56-5218)是现代生物医学研究,特别是法布雷病领域的宝贵工具。
疾病诊断与生物标志物分析:在临床脂组学中,利用液相色谱-串联质谱技术精确测量血浆、尿液或组织活检中的C18Gb3含量,是诊断法布雷病和评估预后的金标准。其浓度的变化比临床症状更能灵敏地反映疾病进展。
疗效监测的基石:对于接受酶替代疗法等特异性治疗的法布雷病患者,定期监测其体内C18Gb3水平的动态变化,是判断治疗是否有效、剂量是否需要调整的最客观指标。
药物研发的平台:
*在筛选和优化新一代α-半乳糖苷酶A时,C18Gb3是评估酶活性和催化效率的关键底物。
*在开发分子伴侣疗法(帮助突变酶正确折叠)时,需要C18Gb3或其类似物来验证分子伴侣能否促进突变酶对其天然底物的降解。
*在研究志贺毒素的致病机制及开发中和抗体或受体模拟物抑制剂时,C18Gb3是必不可少的实验材料。
基础研究:科学家利用C18Gb3来研究其在脂筏组装、细胞内存作用以及信号转导中的具体作用,深化对细胞膜生物学的理解。
四、未来展望与结语
随着科学技术的进步,对C18Gb3的研究正迈向更精细的层面。空间脂组学技术有望揭示C18Gb3在不同组织甚至单个细胞内的分布异质性;基因编辑技术允许我们创建更精确的疾病模型;而对不同链长Gb3(如C18vsC24)在致病性上是否存在差异的深入探究,将有助于理解法布雷病复杂的临床表现,并推动个性化治疗策略的发展。
C18球蛋白三糖鞘脂(d18:1/18:0)的故事,深刻地揭示了生物学中"结构决定功能,功能联系命运"的法则。从一个具有特定化学结构的膜脂分子,到细胞通讯的参与者,再到致命遗传病的核心病理载体和病原体入侵的帮凶,它的多重身份让我们惊叹于生命分子的复杂性与精密性。对它的持续深入研究,不仅是为了征服一种罕见病,更是为了更深刻地理解生命本身运作的奥秘,最终为遭受疾病困扰的患者带来新的希望。
作为Larodan 在中国区总代理,艾美捷科技有限公司将为中国客户提供全面的Larodan 产品以及客户订制化服务,欢迎大家随时联系我们。

微信扫码在线客服