在糖脂生物学研究领域,硫酸化半乳糖神经酰胺的简化类似物对于深入探索其生物学功能具有重要意义。Lyso 3′-磺酸半乳糖神经酰胺(铵盐)(产品编号:56-7101)作为一种结构精简的硫酸苷脂衍生物,在研究分子识别机制和信号传导过程中展现出独特的应用价值。

作为Larodan在中国的区域总代理,艾美捷科技强烈推荐Larodan热销产品Lyso 3′-磺酸半乳糖神经酰胺(铵盐)。产品仅用于科研,不可用于临床诊断。
| 产品名称 | 货号 | 详情 |
| Lyso 3′-磺酸半乳糖神经酰胺(铵盐) | 56-7101-1 | 查看 |
分子结构特征与简化设计
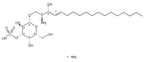
该化合物(CAS: 1246681-32-2)具有明确的化学结构,其分子式为 C24H47NO10S·H3N,分子量为 558.73。与传统的硫酸半乳糖神经酰胺相比,该分子在结构上进行了重要的简化设计:
核心结构特征
1. 保留的功能基团:分子完整保留了3′-O-硫酸化半乳糖这一关键极性头基,该结构域是其与生物体内特定受体蛋白相互作用的核心区域。
2. 精简的鞘氨醇骨架:采用十八碳鞘氨醇骨架(d18:1),但去除了传统神经酰胺中的脂肪酸链部分,形成溶酶体型(Lyso)结构。
3. 稳定的盐形式:以铵盐形式存在,显著提高了分子的水溶性和化学稳定性,便于实验操作和储存。
结构优势与研究价值
这种精简的结构设计使该分子在研究中具有显著优势:
增强的水溶性
去除了疏水性脂肪酸链后,分子的水溶性得到显著改善,使其在体外实验中更容易配制和使用,特别适合水相体系的研究。
减少空间位阻
简化后的结构减少了不必要的空间位阻,使其极性头基更容易与靶标蛋白发生相互作用,有利于研究其特异性结合机制。
稳定的物理性质
铵盐形式的存在确保了分子在常规实验条件下的稳定性,其固体形态便于准确称量和长期保存。
生物学功能与研究意义
Lyso型硫酸半乳糖神经酰胺在生物系统中具有重要的研究价值:
分子识别研究
该分子可作为探针,用于研究硫酸半乳糖神经酰胺与特定受体的识别机制。其简化结构有助于精确解析相互作用的本质,排除脂肪酸链可能带来的干扰。
代谢途径探索
作为硫酸苷脂代谢过程中的可能中间体,该分子有助于研究相关代谢通路及其调控机制。
信号转导研究
通过使用这一结构明确的工具分子,研究人员能够更清晰地阐明硫酸苷脂参与的信号传导网络。
质量控制与研究应用
本产品提供>98% 的高纯度标准,并配备详细的分析证书,确保实验数据的准确性和可重复性。建议在冷冻条件下储存,以保持其长期稳定性。
在实际研究中,该化合物的应用价值主要体现在:
分子相互作用研究
作为标准配体,用于研究其与特定结合蛋白的亲和力与特异性,特别适用于表面等离子共振(SPR)等生物物理技术。
细胞功能研究
凭借其良好的水溶性和生物利用度,适合用于细胞水平的功能研究,探索其对细胞行为的调节作用。
分析方法开发
在脂质组学分析中作为参考标准,有助于开发相关的分析检测方法。
研究前景展望
随着研究技术的进步,Lyso 3′-磺酸半乳糖神经酰胺(铵盐)将在多个前沿研究领域展现其独特价值:
药物发现平台
其明确的结构和良好的物化性质使其成为基于结构的药物设计理想工具。
疾病机制研究
在自身免疫疾病和神经系统疾病研究中,该分子可能为理解疾病机制提供新的视角。
基础科学研究
在膜生物学和糖脂功能研究领域,这一简化分子将继续为阐明复杂的生物学过程提供重要工具。
作为Larodan 在中国区总代理,艾美捷科技有限公司将为中国客户提供全面的Larodan 产品以及客户订制化服务,欢迎大家随时联系我们。

微信扫码在线客服