在细胞生命的复杂交响中,鞘脂类分子扮演着不可或缺的角色,它们不仅是细胞膜的结构基石,更是调控细胞命运的关键信号员。在这庞大的家族里,神经酰胺(Ceramide)以其在细胞应激、衰老和凋亡中的核心作用而备受关注。本文将要深入探讨的,是一种具有特定结构的神经酰胺类似物——C12-二氢神经酰胺(C12-dihydro-Ceramide)。我们将以产品编号56-3112的化合物为例,从其精确的化学结构、基本的物理特性出发,深入探讨其在生命科学研究中的独特功能与广阔应用前景。

作为Larodan在中国的区域总代理,艾美捷科技强烈推荐Larodan热销产品C12-二氢神经酰胺。产品仅用于科研,不可用于临床诊断。
| 产品名称 | 货号 | 详情 |
| C12-二氢神经酰胺 | 56-3112-4 | 查看 |
一、化学结构的精密解剖:饱和骨架与短链修饰
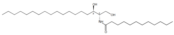
理解C12-二氢神经酰胺,首先从解读其唯一的化学身份开始。其CAS号(197302-96-8)是其在全球化学数据库中的专属标识。其系统命名“Dodecanamide,N-[(1S,2R)-2-羟基-1-(羟甲基)十七烷基]-”精确地描绘了其分子构成:
Dodecanamide(十二酰胺):指明了分子的一个关键组成部分——一个由12个碳原子构成的直链酰基(C12:0)。这个“C12”前缀正是其通用名称的来源。
N-[(1S,2R)-2-羟基-1-(羟甲基)十七烷基]-:这描述了分子的另一部分——鞘氨醇骨架。值得注意的是,该骨架被定义为“二氢”(dihydro-),这意味着与常见的神经酰胺(其鞘氨醇骨架通常在4位有一个反式双键)相比,C12-二氢神经酰胺的骨架是完全饱和的,不含任何双键。这种饱和结构使其分子构象更具灵活性,并可能影响其在生物膜中的排列和代谢稳定性。此外,(1S,2R)明确了两个手性中心的立体化学构型,这是其生物活性的结构基础。
其分子式为C30H61NO3,分子量为483.81g/mol。从结构式上看,我们可以将其解析为三个部分:
1.极性头部:由两个羟基(-OH)和一个酰胺键(-CO-NH-)构成,这赋予了分子亲水性和形成氢键的能力,是分子间相互作用的关键位点。
2.饱和的鞘氨醇骨架:一个由17个碳原子组成的完全饱和的长链烷烃,作为分子的疏水主干。
3.十二碳酰基链(C12):通过酰胺键与骨架连接,这是一个相对较短的脂肪酸链。
其SMILES表达式(O=C(NC(CO)C(O)CCCCCCCCCCCCCCC)CCCCCCCCCCC)及立体异构SMILES直观地展示了这些基团的连接方式。而更深层的InChI(国际化学标识符)及其密钥(InChIKey=UHWYQNVZIBLESO-URLMMPGGSA-N)则提供了包含所有立体化学信息的标准化数字描述,确保了在复杂的化学信息学研究中能够进行精准无误的检索与识别。
二、产品特性与研究可靠性的保障
作为一款高标准的科研试剂(产品号:56-3112),该C12-二氢神经酰胺具备明确的产品规格。其纯度高于98%(>98%),这一高纯度指标对于细胞生物学和生物化学实验至关重要。因为即使是微量的杂质,也可能在敏感的细胞凋亡或信号通路实验中引发非特异性效应,导致数据解读出现偏差。
该产品在物理状态下为固态(Solid),并以纯净物(Suppliedas:Neat)形式提供。研究人员在使用时,通常需要先用适当的有机溶剂(如乙醇、DMSO)配制成高浓度的储存液,再进一步稀释至培养液或缓冲液中用于实验。必须严格遵守的储存条件是冷冻(Freezer)。神经酰胺及其衍生物对降解较为敏感,低温可以有效延缓其水解和氧化,确保在整个研究周期内化合物的化学稳定性和生物活性。因此,遵循产品附带的分析证书(CertificateofAnalysis)中的指导进行规范操作与储存,是获得可靠、可重复科研成果的基本前提。
三、生物学功能:鞘脂通路的中心分子
要理解C12-二氢神经酰胺的应用价值,必须将其置于鞘脂代谢与信号通路的大背景下。神经酰胺是鞘脂代谢的核心节点,它可通过多种途径合成,并可进一步代谢为其他重要的信号分子,如鞘氨醇和鞘氨醇-1-磷酸(S1P)。这些分子共同构成了一个精密的信号网络,oftendescribedasthe"Ceramide/S1PRheostat",即神经酰胺(通常促进凋亡和生长抑制)与S1P(通常促进增殖和存活)之间的平衡决定了细胞的最终命运。
在这个网络中,神经酰胺本身作为重要的第二信使,参与调控多种细胞过程:
细胞凋亡与生长停滞:在多种应激信号(如辐射、化疗药物、氧化应激)作用下,细胞内神经酰胺水平会上升,进而通过激活特定的蛋白磷酸酶、蛋白激酶或直接影响线粒体膜通透性,从而诱导细胞凋亡或细胞周期停滞。
细胞分化:神经酰胺在多种细胞类型(如角质形成细胞、神经元)的分化过程中扮演着重要角色。
炎症反应:它能够激活炎症小体,促进促炎细胞因子的释放。
胰岛素抵抗:过多的神经酰胺积累已被证明会干扰胰岛素信号通路,促成2型糖尿病的发展。
四、C12-二氢神经酰胺的独特科研价值与应用
那么,为何研究人员要特意选择这种结构修饰的C12-二氢神经酰胺呢?其独特的科研价值主要体现在以下几个方面:
1.作为细胞通透性良好的研究工具:天然的长链神经酰胺(如C16或C24)由于其极强的疏水性,难以进入细胞。而C12-二氢神经酰胺拥有较短的脂肪酸链,其疏水性相对较低,细胞通透性显著优于长链神经酰胺。这使得研究人员能够通过将其直接添加到细胞培养液中,更高效地在细胞内引入神经酰胺,从而模拟其生物学效应。
2.增强的代谢稳定性:其饱和的“二氢”结构使其不再是不饱和双键,使其对氧化降解和某些特异性代谢酶(如神经酰胺酶)的敏感性可能降低。这意味着它在细胞内的半衰期可能更长,能够产生更持久、更稳定的生物学效应,便于观察和研究。
3.膜特性研究与脂质体构建:作为一种结构明确的合成鞘脂,它可以被用于构建人工脂质体或模型膜,用以研究鞘脂在膜流动性、微域(如脂筏)形成以及膜蛋白功能调节中的作用。其饱和的骨架可能影响其在膜中的相行为。
4.特异性信号通路探针:通过使用C12-二氢神经酰胺,研究者可以更清晰地揭示神经酰胺介导的特定信号通路,而不易被其快速代谢产物(如鞘氨醇和S1P)的效应所混淆。这对于剖析复杂的“Ceramide/S1PRheostat”至关重要。
5.疾病模型与药物筛选:该化合物被广泛应用于研究神经酰胺在癌症、神经退行性疾病、代谢综合征及皮肤病等多种病理过程中的作用。它也可作为工具分子,用于筛选能够调节神经酰胺代谢或拮抗其功能的潜在药物。
综上所述,C12-二氢神经酰胺(产品号:56-3112)是一种结构明确、纯度极高且具有卓越细胞通透性的神经酰胺类似物。从其精密的化学定义到严谨的储存规范,无不体现出现代生命科学对研究工具精准性的高要求。作为探索鞘脂信号通路,特别是神经酰胺生物学的一把利器,它凭借其稳定的化学性质和高效率的细胞递送能力,在从基础细胞生物学到转化医学的广阔研究领域中发挥着不可替代的作用。对这类关键脂质信号分子的持续深入研究,必将为我们理解生命的基本调控机制和开发相关疾病的新疗法提供更多宝贵的洞见。
作为Larodan 在中国区总代理,艾美捷科技有限公司将为中国客户提供全面的Larodan 产品以及客户订制化服务,欢迎大家随时联系我们。

微信扫码在线客服