在细胞生命活动的精密调控网络中,鞘脂类分子远非简单的结构组分,它们更是动态的信号信使,深度参与决定细胞的生死、应激与代谢等核心进程。其中,神经酰胺(Ceramide)作为鞘脂代谢通路的中心分子,尤其受到科学界的广泛关注。而当其结构被进行特定修饰后,便衍生出一系列极具科研价值的工具分子。本文将以产品编号56-3114的C14-二氢神经酰胺(C14-dihydro-Ceramide)为核心,系统解析其化学结构、物理特性,并深入探讨其在生命科学前沿研究中的独特功能与应用价值。

作为Larodan在中国的区域总代理,艾美捷科技强烈推荐Larodan热销产品C14-二氢神经酰胺。产品仅用于科研,不可用于临床诊断。
| 产品名称 | 货号 | 详情 |
| C14-二氢神经酰胺 | 56-3114-4 | 查看 |
一、化学结构的精准界定:十四碳酰基与饱和骨架
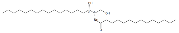
精确的化学定义是理解任何生物活性分子的基础。C14-二氢神经酰胺拥有其独一无二的身份标识——CAS号61389-70-6。其系统命名“Tetradecanamide,N-[(1S,2R)-2-羟基-1-(羟甲基)十七烷基]-”像一份精密的分子蓝图,揭示了其核心结构特征:
*Tetradecanamide(十四酰胺):指明了该分子的酰基部分为一个由14个碳原子构成的直链饱和脂肪酸(C14:0)。这即是其通用名称中“C14”前缀的来源,将其与更短(如C12)或更长(如C16、C24)的神经酰胺变体区分开来。
*N-[(1S,2R)-2-羟基-1-(羟甲基)十七烷基]-:这描述了分子的鞘氨醇骨架部分。关键之处在于“二氢(dihydro-)”这一修饰词,它意味着与天然存在的、在4位碳上通常有一个反式双键的神经酰胺不同,C14-二氢神经酰胺的鞘氨醇骨架是完全饱和的,不含任何碳碳双键。这种饱和结构增强了分子的构象灵活性,并可能显著影响其代谢稳定性和在细胞膜中的行为。同时,(1S,2R)的标注严格定义了分子中两个手性中心的立体化学构型,这是其与体内特定酶或受体相互作用的分子基础。
其分子式为C32H65NO3,分子量为511.86g/mol。从结构上看,该分子可以解构为三个功能区域:
1.亲水头部:由一个酰胺键(-CO-NH-)和两个羟基(-OH)共同构成,赋予分子极性,是其形成分子间氢键并参与特定生物识别的基础。
2.饱和的鞘氨醇长链:一个由17个碳原子组成的完全饱和的烷烃链,构成分子的疏水主干。
3.十四碳酰基链(C14):通过酰胺键与鞘氨醇骨架的氨基相连,这是一个中等长度的饱和脂肪酸链。
其SMILES表达式(O=C(NC(CO)C(O)CCCCCCCCCCCCCCC)CCCCCCCCCCCCC)及其立体异构SMILES清晰地编码了原子间的连接顺序。而更为深入的InChI(国际化学标识符)及其密钥(InChIKey=UDTSZXVRDXQARY-IOWSJCHKSA-N)则提供了包含所有立体化学信息的标准化数字描述,确保了在化学信息学与系统生物学研究中能够实现无歧义的精准检索与数据整合。
二、产品规格与科研实践的可靠性基石
作为一款标准化的科研试剂(产品号:56-3114),该C14-二氢神经酰胺遵循严格的质量控制。其纯度经分析验证高于98%(>98%),这一高纯度指标对于细胞水平的精细研究至关重要。在探究细胞凋亡、自噬或信号转导等高度敏感的过程时,任何杂质都可能引入不可控的变量,导致实验结果的误判。
该产品在物理状态下为固态(Solid),并以纯净物(Suppliedas:Neat)形式提供。在具体研究应用中,研究人员需首先使用合适的有机溶剂(如无水乙醇、DMSO)将其溶解配制成高浓度母液,再根据实验设计稀释至细胞培养液或生化反应体系中使用。必须严格遵守的储存条件是冷冻(Freezer)。神经酰胺及其衍生物对水解和氧化降解较为敏感,低温储存是维持其化学稳定性和生物活性从开封到使用全程一致性的关键保障。因此,详尽阅读并遵循产品附带的分析证书(CertificateofAnalysis)中的操作指南,是确保科研数据可靠性与可重复性的基本前提。
三、生物学背景:神经酰胺的核心枢纽地位
要充分理解C14-二氢神经酰胺的科研价值,必须将其置于鞘脂代谢与信号导通的宏观图景中。神经酰胺本身是这一通路的枢纽分子,它可通过多种生物合成途径产生,并能够进一步代谢转化为其他重要的生物活性脂质,如鞘氨醇(Sphingosine)和其促生存信号分子——鞘氨醇-1-磷酸(S1P)。这些分子共同构成了一个精密的调控网络,常被比喻为“神经酰胺/S1P平衡开关”,即细胞的命运往往取决于促凋亡的神经酰胺与促存活的S1P之间的动态平衡。
作为关键的第二信使,神经酰胺参与调控多种核心细胞过程:
*细胞凋亡与周期停滞:在多种内外源性应激(如DNA损伤、氧化应激、化疗药物)下,细胞内神经酰胺水平会显著上升,进而通过激活特定的蛋白磷酸酶/激酶、影响线粒体膜通透性并促进细胞色素C释放等机制,最终诱导程序性细胞死亡或阻止细胞周期进程。
*细胞自噬:神经酰胺也被证明是自噬作用的重要诱导因子,在细胞应对营养匮乏或清除受损细胞器过程中扮演复杂角色。
*细胞分化与衰老:它在多种细胞类型(如角质形成细胞、神经元前体细胞)的分化过程中起到推动作用,并与细胞衰老进程密切相关。
*胰岛素抵抗与代谢综合征:组织中过度的神经酰胺积累已被证实会干扰胰岛素信号转导,是连接肥胖、脂毒性与2型糖尿病发生的重要分子环节。
四、C14-二氢神经酰胺的独特科研优势与应用场景
那么,研究人员为何要特意选择这种C14-二氢神经酰胺作为研究工具呢?其独特的价值体现在以下几个方面:
1.平衡的细胞通透性与生物效应:与更长链(如C16-C24)的神经酰胺相比,C14链长赋予了分子相对较低的疏水性,使其细胞通透性更佳,能够更有效地被细胞摄取。同时,与更短的C12变体相比,其较长的酰基链可能使其生物物理性质更接近某些内源性的长链神经酰胺,从而在模拟生理/病理效应时可能更为贴近真实情况。
2.增强的代谢稳定性:其饱和的“二氢”骨架使其缺乏不饱和双键,这不仅降低了被氧化的风险,也可能使其对某些特异性降解酶(如神经酰胺酶)的敏感性发生变化。这意味着它在细胞内的半衰期可能得以延长,能够引发更持久、更稳定的生物学响应,便于研究者进行观察和机制剖析。
3.膜生物学与脂筏研究的理想工具:作为一种结构高度明确的合成鞘脂,它在构建人工脂质体或模型生物膜研究中不可或缺。其中等链长和饱和特性使其成为研究鞘脂在调控膜流动性、形成并稳定“脂筏”微域,以及调节膜蛋白功能等方面作用的理想选择。
4.特异性信号通路的精密探针:通过外源性导入C14-二氢神经酰胺,研究人员可以在细胞内人为地抬升神经酰胺水平,从而清晰地揭示其下游信号事件(如蛋白激酶的激活、基因表达的改变),同时在一定程度上规避其快速代谢产物(如S1P)所带来的复杂性干扰,这对于精确解读“Ceramide/S1P平衡开关”至关重要。
5.疾病机制研究与药物发现平台:该化合物被广泛应用于构建疾病模型,以研究神经酰胺在癌症发生与发展、神经退行性疾病(如阿尔茨海默病)、代谢性疾病及皮肤屏障功能障碍等病理过程中的作用机制。它同样可作为工具分子,用于高通量筛选能够调节神经酰胺代谢或功能的新型小分子药物。
总而言之,C14-二氢神经酰胺(产品号:56-3114)是一种结构明确、高纯度且具备优异理化特性的神经酰胺类似物。从其严谨的化学身份到严格的产品规范,无不彰显现代生命科学研究对分子工具精准度的极致追求。作为探索鞘脂信号通路复杂性的一把关键钥匙,它凭借其平衡的细胞递送效率、增强的代谢稳定性以及作为膜探针的独特价值,在从基础细胞生物学到转化医学的广阔领域中占据了不可替代的地位。对这类功能强大的脂质信号分子的持续深入探索,必将为我们揭开生命调控的更多奥秘,并为人类重大疾病的防治策略带来新的启迪与突破。
作为Larodan 在中国区总代理,艾美捷科技有限公司将为中国客户提供全面的Larodan 产品以及客户订制化服务,欢迎大家随时联系我们。

微信扫码在线客服