在鞘脂信号传导研究领域,神经酰胺-1-磷酸(C1P)作为神经酰胺代谢通路中的重要活性分子,在细胞增殖、凋亡和炎症反应中发挥着核心调控作用。其中,C16神经酰胺-1-磷酸(d18:1/16:0)铵盐(产品编号:56-1361)以其明确的结构特征和稳定的化学性质,成为研究C1P生物学功能的重要工具。本文将系统解析这一化合物的化学特性、结构特征及其在生物医学研究中的独特价值。

作为Larodan在中国的区域总代理,艾美捷科技强烈推荐Larodan热销产品C16神经酰胺-1-磷酸(d18:1/16:0)。产品仅用于科研,不可用于临床诊断。
| 产品名称 | 货号 | 详情 |
| C16神经酰胺-1-磷酸(d18:1/16:0) | 56-1361-1 | 查看 |
一、化合物的基本特性与鉴定体系
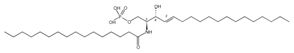
C16神经酰胺-1-磷酸(d18:1/16:0)铵盐拥有完整的化学识别系统,其CAS登记号(1246303-22-9)确保了该化合物在国际化学数据库中的唯一性和可追溯性。该化合物的系统命名为"十六烷酰胺,N-[(1S,2R,3E)-2-羟基-1-[(膦酰氧基)甲基]-3-十七碳烯-1-基]-,铵盐(1:1)",准确描述了分子的完整化学结构。
从分子组成来看,该化合物的分子式为C34H68NO6P·H3N,分子量为634.91 g/mol。其脂质编号d18:1/16:0明确指示该分子由十八碳鞘氨醇骨架(在4、5位含有一个双键)和十六碳脂肪酸组成。这种特定的组成使其在物理化学性质和生物学活性方面表现出独特特征。
二、精确的立体化学与结构特征
该化合物的核心特征在于其精确的立体化学配置。鞘氨醇骨架的(1S,2R,3E)构型确保了分子在生物学环境中的正确识别和功能发挥。C1位的S构型、C2位的R构型以及C3-C4双键的E构型(反式排列)共同决定了分子的三维空间结构,这对于其与特定受体的相互作用至关重要。
在化学结构方面,该分子包含三个关键功能区域:鞘氨醇骨架形成亲水头部,十六碳脂肪酸链构成疏水尾部,而C1位的磷酸基团则作为信号传导的功能基团。磷酸基团与铵离子形成的盐结构显著增强了化合物的水溶性和稳定性,使其更适合生物学研究应用。
在化学信息学表征方面,SMILES符号(O=C(NC(COP(=O)(O)O)C(O)C=CCCCCCCCCCCCCC)CCCCCCCCCCCCCCC.N)和同分异构SMILES(C(NC(CCCCCCCCCCCCCCC)=O)(C(C=CCCCCCCCCCCCCC)O)COP(=O)(O)O.N)准确描述了分子的化学结构。InChI标识符提供了完整的机器可读结构信息,而其InChIKey(RCRVTEZMCBPWGN-YWBCJBABSA-N)则为数据库检索和结构比对提供了便利。
三、物理特性与质量控制标准
该化合物在常温下为固态,以纯净物形式提供,纯度严格控制在98%以上。这种高标准的质控要求对于细胞信号传导研究尤为重要,因为杂质可能干扰精确的生物学读数。产品提供1mg规格,适合精细的生物学研究。
根据产品说明,该化合物需要在冷冻条件下保存。磷酸基团的离子特性和不饱和双键的存在使其对温度变化较为敏感,适当的低温保存能够有效维持化合物的化学稳定性和生物学活性。铵盐形式的选择显著改善了化合物的溶解性和操作稳定性。
四、科学研究中的重要应用价值
C16神经酰胺-1-磷酸在细胞信号传导研究中具有核心地位。作为神经酰胺代谢通路的下游产物,C1P与神经酰胺在生物学效应上往往表现出拮抗作用。虽然神经酰胺主要促进细胞凋亡和生长抑制,但C1P却被证明能够促进细胞增殖、迁移和存活。
在炎症反应研究中,C1P被确认为重要的促炎症介质。它能够刺激磷脂酶A2的活化,促进花生四烯酸的释放,进而影响前列腺素和白三烯等炎症介质的产生。通过使用明确结构的C16 C1P,研究人员能够精确解析其在炎症信号网络中的具体作用机制。
在细胞迁移研究中,C1P显示出对多种细胞类型迁移能力的促进作用,这一特性在伤口愈合、血管生成和肿瘤转移等生理病理过程中具有重要意义。研究表明,C16 C1P可能通过调节整合素活性和细胞骨架重组来影响细胞运动性。
五、技术优势与研究前景
C16神经酰胺-1-磷酸(d18:1/16:0)铵盐的技术优势在于其明确的结构定义、卓越的纯度质量和良好的操作稳定性。在药物研发领域,C1P代谢通路已成为开发新型抗炎药物和抗癌药物的重要靶点。通过使用高纯度的标准品,研究人员能够更好地理解C1P与其相互作用蛋白的结合特性。
随着脂质组学技术的进步和对鞘脂信号网络认识的深入,C1P在疾病诊断和治疗中的价值日益凸显。特别是在癌症、自身免疫性疾病和代谢性疾病的研究中,C1P代谢异常可能为疾病发生发展提供重要的分子机制解释。
C16神经酰胺-1-磷酸(d18:1/16:0)铵盐凭借其明确的结构特征、特定的立体构型和卓越的纯度质量,为鞘脂信号传导研究提供了珍贵而可靠的探针工具。从基础细胞生物学研究到临床转化应用,这一化合物在揭示C1P生物学功能和开发新型治疗策略中发挥着关键作用。随着研究技术的不断创新和对鞘脂信号网络理解的深化,C16 C1P在科学研究和医学应用中的价值必将获得更充分的认识和拓展。
作为Larodan 在中国区总代理,艾美捷科技有限公司将为中国客户提供全面的Larodan 产品以及客户订制化服务,欢迎大家随时联系我们。

微信扫码在线客服