N-十七烷酰基乳糖神经酰胺(N-Heptadecanoyl-lactosylceramide)是一种结构明确的乳糖系列鞘糖脂,其CAS号为1354699-26-5,产品编号为56-1052。作为细胞膜上重要的功能分子,该化合物在细胞识别、信号转导和免疫调节等生理过程中发挥着关键作用。本文将从其结构特征、生物学功能及研究应用三个方面进行系统阐述。

作为Larodan在中国的区域总代理,艾美捷科技强烈推荐Larodan热销产品N-十七烷酰基乳糖神经酰胺。产品仅用于科研,不可用于临床诊断。
| 产品名称 | 货号 | 详情 |
| N-十七烷酰基乳糖神经酰胺 | 56-1052-1 | 查看 |
一、化学结构与物理特性
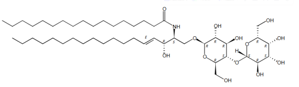
该化合物的分子式为C??H??NO??,分子量为876.21,其结构具有以下显著特征:
1.对称的脂质骨架:分子采用十七烷酰基(C17:0)作为酰基链,与鞘氨醇部分的十七碳烯链(d18:1/17:0)形成独特的对称结构。这种对称性可能影响其在细胞膜中的排列和相互作用。
2.双糖头部基团:乳糖基(β-D-半乳吡喃基-(1→4)-β-D-葡萄吡喃基)通过糖苷键与神经酰胺连接,较单糖神经酰胺具有更复杂的识别特性。
3.明确的空间构型:分子中包含多个手性中心,其绝对构型为(1S,2R),双键为E构型。通过InChI键(RXEAEJDDQFAFLW-NMZPIEEZSA-N)可精确描述其三维结构。
该化合物在常温下为固体,纯度超过99%,需在冷冻条件下保存以确保稳定性。"Neat"的供应形式保证了其在精密研究中的可靠性。
二、生物学功能与作用机制
N-十七烷酰基乳糖神经酰胺作为细胞膜的重要组成,在多个生物学过程中发挥关键作用:
1.细胞识别与粘附
乳糖神经酰胺是多种凝集素和受体的识别靶点,参与:
-细胞与细胞间的特异性识别
-细胞与基质间的粘附过程
-免疫细胞的靶向迁移
2.信号转导调控
近年来研究发现,该化合物在多个信号通路中发挥重要作用:
-调节细胞生长和分化相关激酶的活性
-影响细胞周期进程
-参与细胞应激反应的调控
3.膜微结构组织
作为鞘糖脂家族成员,该化合物倾向于在细胞膜上形成特定的微结构域(脂筏),这些区域可作为信号分子组装的平台,促进高效的信号转导。
三、研究应用与临床意义
凭借其明确的化学结构和特定的生物学功能,该化合物在多个研究领域具有重要价值:
1.感染性疾病研究
某些病原微生物利用乳糖神经酰胺作为细胞表面受体,因此该化合物可用于:
-病原体入侵机制的研究
-抗感染药物筛选模型的建立
-疫苗设计的靶点探索
2.免疫调节研究
在免疫学领域,该化合物被广泛应用于:
-抗原呈递机制的研究
-免疫细胞活化的调控研究
-自身免疫性疾病模型的建立
3.代谢疾病研究
作为鞘脂代谢通路中的重要中间体,该化合物在:
-代谢综合征的研究中具有价值
-胰岛素抵抗机制的探讨中发挥作用
-脂代谢异常相关疾病模型的构建中应用
4.分析标准品应用
凭借高纯度和明确结构,该化合物可作为:
-质谱分析中的内标物质
-色谱分析中的参照标准
-脂质组学研究中的定性与定量标准
结语
N-十七烷酰基乳糖神经酰胺以其对称的分子结构、明确的化学特性和多样的生物学功能,成为连接基础研究与临床应用的重要桥梁。随着结构生物学和单分子技术的发展,对此类化合物的深入研究将继续推动我们在细胞膜生物学、免疫识别和疾病机制等领域的认知边界。未来,基于这类化合物的研究有望为感染性疾病、免疫紊乱和代谢异常等重大健康问题的解决提供新的思路和策略。
Larodan 公司成立于 1963 年,坐落于瑞典斯德哥尔摩的卡罗林斯卡学院(诺贝尔奖委员会所在地)中,主要从事高纯度脂类的开发,制造和销售,产品包括脂肪酸,脂肪酸脂,甘油三酯,蜡脂,磷脂,鞘脂等,也提供稳定的放射性同位素化合物,NMR 消耗品和特种生化试剂以及环境和法医标准等,提供从ug 到 g 级包装,标准纯度高于99%。所有产品都附有分析证书,拥有很高的性价比。
作为Larodan 在中国区总代理,艾美捷科技有限公司将为中国客户提供全面的Larodan 产品以及客户订制化服务,欢迎大家随时联系我们。

微信扫码在线客服