在生命科学的微观世界里,细胞膜并非一层静态的屏障,而是一个由多种脂质分子构成的、时刻发生着复杂动态变化的生命界面。其中,鞘磷脂作为细胞膜与脂筏结构的关键组成部分,不仅承担着结构支撑作用,更深度参与细胞信号识别、凋亡调控等关键进程。要对这些动态生命活动进行精确解析,离不开精密的分子探针。产品编号78-5416,CAS号为144236-99-7的13CC16鞘磷脂(d18:1/16:0),正是这样一款在鞘磷脂研究中扮演着“动态轨迹追踪者”角色的稳定同位素标记化合物。

作为Larodan在中国的区域总代理,艾美捷科技强烈推荐Larodan热销产品13CC16鞘磷脂(d18:1/16:0)。产品仅用于科研,不可用于临床诊断。
| 产品名称 | 货号 | 详情 |
| 13CC16鞘磷脂(d18:1/16:0) | 78-5416-1 | 查看 |
一、分子结构解析:精准的位点特异性标记
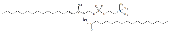
13CC16鞘磷脂是一种在设计上极具巧思的分子。其结构由三个核心部分组成,并在一处关键位置引入了稳定同位素标记:
1.鞘氨醇骨架(d18:1):该分子拥有一个18碳的鞘氨醇长链碱基,其结构特点是第4位碳上带有一个反式双键(由“d18:1”和结构式中的“E”表示)。这是生物体内最常见的天然形态,确保了该探针与内源性鞘磷脂在物理化学性质上的高度一致性。
2.棕榈酰基(C16:0):一个完全饱和的十六碳脂肪酸链(棕榈酸)通过酰胺键与鞘氨醇的氨基相连。这种“d18:1/16:0”的组合是生物体内最丰富、最具代表性的鞘磷脂种类之一。
3.磷酸胆碱极性头基:通过磷酸二酯键与鞘氨醇末端的羟基相连,形成亲水的极性头部,是鞘磷脂与其它膜磷脂相互作用以及参与信号传导的重要功能基团。
此分子的精髓在于其位点特异性的碳-13(13C)标记。标记点并非随机,而是精准地定位在棕榈酰基与鞘氨醇骨架连接的羰基碳原子上(在脂质编号中常被视为sn-2位)。这一设计使其分子式仍为C??H??N?O?P,分子量为704.02,但标记版本与未标记版本在质谱分析中因一个质量数的差异而清晰可辨。
二、核心应用:动态代谢流研究的强大引擎
与主要作为定量内标的氘代化合物不同,13CC16鞘磷脂的核心价值在于作为代谢示踪剂,用于揭示鞘磷脂在活细胞内的动态生命历程。
1.鞘磷脂合成与周转动力学研究:研究人员可以将此13C标记的鞘磷脂前体(如标记的鞘氨醇或神经酰胺)或直接将此完整分子引入细胞培养体系。细胞会将其作为原料,合成出带有13C标记的鞘磷脂。通过质谱技术在不同时间点追踪13C信号的强弱变化,可以精确计算出鞘磷脂的合成速率、在膜上的半衰期以及降解为神经酰胺、鞘氨醇-1-磷酸等信号分子的速度,从而完整描绘其代谢周转的动态图谱。
2.脂筏动态与膜运输过程的示踪:鞘磷脂是脂筏微结构域的主要成分,这些区域是许多信号蛋白的聚集平台。利用13C标记的鞘磷脂,可以结合先进的成像质谱等技术,研究脂筏在细胞膜上的形成、解聚动态,以及鞘磷脂在胞吞、胞吐等膜运输过程中的流向与命运。
3.疾病相关代谢紊乱的机制探索:在动脉粥样硬化、尼曼-匹克病、癌症等病理状态下,鞘磷脂代谢常常发生显著紊乱。通过比较正常与病变细胞模型处理13CC16鞘磷脂的差异,能够精准定位代谢通路中发生阻滞或异常激活的具体环节,为理解疾病机制和寻找新的治疗靶点提供关键线索。
4.作为高精度定量的内标物:虽然其主要优势在于示踪,但其明确的化学结构与高纯度(>98%),同样使其可以作为液相色谱-串联质谱法定量分析生物样本中C16鞘磷脂的优质内标,校正分析过程中的损失,提升数据的准确性。
三、产品特性与研究保障
为满足前沿科研对数据精确性的严苛要求,该产品具备卓越品质:
*高纯度:>98%的纯度确保了示踪实验的专一性,避免了杂质对细胞代谢的潜在干扰。
*物理形态:以纯净固体形式提供,便于精确配制适用于细胞培养或生化实验的储备液。
*稳定性:建议冷冻储存,确保其长期稳定性,保障不同批次实验间的一致性。
*质量文件:附带的质检证书是其身份与纯度的可靠保证。
结语
13CC16鞘磷脂(d18:1/16:0)超越了其作为单一化学分子的定义,它更是一个功能强大的动态探针。它使得科学家能够“实时观看”细胞膜上鞘磷脂的生命周期,将静态的分子分布转化为动态的代谢流信息。在代谢组学与细胞生物学研究日益深入的今天,这种能够揭示生命过程时序变化的精密工具,正推动着我们对细胞膜生物学、信号转导及相关疾病认知的边界不断拓展。
作为Larodan 在中国区总代理,艾美捷科技有限公司将为中国客户提供全面的Larodan 产品以及客户订制化服务,欢迎大家随时联系我们。
微信扫码在线客服