在生物医学研究领域,特定疾病的精准诊断与机制探索往往依赖于对关键生物标志物的精确定量。葡萄糖基鞘氨醇(Glucosylsphingosine,Lyso-Gb1)正是这样一种分子,其在戈谢病诊断与疗效监测中的核心地位已获公认。而产品编号78-4018,CAS号为299172-48-8的13C6-葡萄糖基鞘氨醇(d18:1),便是实现对这一关键分子进行超灵敏、绝对定量的黄金内标物,为相关研究和临床检测提供了不可或缺的技术支撑。

作为Larodan在中国的区域总代理,艾美捷科技强烈推荐Larodan热销产品13C6-葡萄糖基鞘氨醇(d18:1)。产品仅用于科研,不可用于临床诊断。
| 产品名称 | 货号 | 详情 |
| 13C6-葡萄糖基鞘氨醇(d18:1) | 78-4018-1 | 查看 |
一、分子结构:精准标记的疾病标志物类似物
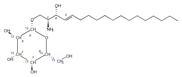
13C6-葡萄糖基鞘氨醇是一种结构经精心设计的稳定同位素标记化合物。其天然形式是鞘脂代谢通路中的一个重要中间体,由鞘氨醇与一个葡萄糖分子以β-糖苷键连接而成。
其核心结构特征如下:
1.鞘氨醇骨架(d18:1):该分子拥有一个18碳的鞘氨醇长链碱基,其特点是第4位碳上有一个反式双键(由“d18:1”和“4E”表示)。这是最常见的天然鞘氨醇骨架形式,确保了其与内源性目标分子在物理化学性质上的高度一致性。
2.葡萄糖基团:一个β-构型的D-葡萄糖通过糖苷键连接到鞘氨醇的1位碳上,形成了分子的亲水头部。
3.全碳-13标记(13C6):此分子的精髓在于其标记方式。其葡萄糖基团上的所有六个碳原子(位置1至6)均被稳定同位素碳-13(13C)所取代。这使得其分子量达到467.59,与未标记的天然分子(分子量461.59)相比,产生了精确的6个质量单位的差异。
这种全碳标记策略具有显著优势。在质谱分析中,标记分子与天然分子之间足够大的质量差使其信号能被清晰无误地区分,同时,由于整个糖环被均匀标记,该分子在代谢研究中能提供更稳定、更可靠的示踪信号。其高纯度(>98%)和固态形式,确保了实验结果的准确性与重现性。
二、核心应用:从戈谢病诊断到前沿代谢研究
1.戈谢病生物标志物定量分析的“金标准”:
戈谢病是一种由于葡萄糖脑苷脂酶缺乏引起的遗传性溶酶体贮积症。酶功能的缺陷导致其底物葡萄糖脑苷脂(Glucosylceramide)在溶酶体中堆积,并部分降解为葡萄糖基鞘氨醇。大量研究表明,戈谢病患者血浆中的葡萄糖基鞘氨醇水平显著高于健康人群,且其浓度与疾病严重程度及治疗反应密切相关。
在基于液相色谱-串联质谱的临床检测方法中,13C6-葡萄糖基鞘氨醇作为内标物发挥着至关重要的作用。在样本前处理之初加入已知量的该内标,可以完美校正整个分析流程(包括提取、分离和离子化)中目标分子的损失和变异。通过测量天然分子与内标物的信号比值,可以实现对患者样本中葡萄糖基鞘氨醇的绝对定量,为戈谢病的诊断、分型、疗效监测及预后判断提供精准可靠的实验室依据。
2.鞘糖脂代谢通路研究的示踪剂:
超越戈谢病的范畴,该化合物也是探索更广泛鞘糖脂代谢动力学的强大工具。研究人员可以将其引入细胞或动物模型,利用质谱技术追踪13C标记的葡萄糖基鞘氨醇的摄取、代谢命运及其在复杂生物网络中的转化路径。这有助于阐明在生理和病理状态下(如其他神经退行性疾病、癌症),鞘糖脂合成与降解的调控机制。
3.药物研发与治疗评估:
在针对戈谢病的酶替代疗法或底物减少疗法的研发与评估中,13C6-葡萄糖基鞘氨醇作为内标,能够高灵敏度地检测药物治疗后患者生物标志物水平的动态变化,为评估新药疗效和确定最佳给药方案提供了关键的数据支持。
三、产品特性与质量保证
为确保其在尖端研究和临床检测中的应用可靠性,该产品具备卓越的品质:
*超高纯度:>98%的纯度有效避免了杂质干扰,保证了分析的特异性和准确性。
*稳定形态:以纯净固体形式提供,便于精确配制标准溶液。
*严格储存:要求冷冻保存,确保其长期的化学与物理稳定性。
*质量文件:附带的分析证书是其身份和质量的权威证明,符合高标准实验室的质控要求。
结语
13C6-葡萄糖基鞘氨醇(d18:1)不仅是一个化学试剂,更是连接基础研究与临床实践的精密桥梁。它凭借其独特的全碳-13标记和高品质特性,将葡萄糖基鞘氨醇的检测提升到了前所未有的精准水平。在精准医疗日益发展的今天,它作为戈谢病管理中的核心工具和探索鞘脂代谢世界的探针,将继续为科学家和临床医生揭示疾病奥秘、改善患者预后提供坚实的技术保障。
作为Larodan 在中国区总代理,艾美捷科技有限公司将为中国客户提供全面的Larodan 产品以及客户订制化服务,欢迎大家随时联系我们。
微信扫码在线客服