在细胞生命活动的复杂调控网络中,鞘脂类分子作为关键的信使物质发挥着核心作用。其中,神经酰胺-1-磷酸作为神经酰胺代谢通路中的重要磷酸化产物,近年来被证实是调控细胞增殖、存活、迁移及炎症反应的关键信号分子。产品编号为71-5218的氘代C18神经酰胺-1-磷酸-d3(d18:1/18:0-d3),正是为深入探索这一重要信号分子功能而精心设计的高纯度、稳定同位素标记研究工具,为科学家提供了揭示C1P信号网络奥秘的独特窗口。

作为Larodan在中国的区域总代理,艾美捷科技强烈推荐Larodan热销产品氘代C18神经酰胺-1-磷酸-d3(d18:1/18:0-d3)。产品仅用于科研,不可用于临床诊断。
| 产品名称 | 货号 | 详情 |
| 氘代C18神经酰胺-1-磷酸-d3(d18:1/18:0-d3) | 71-5218-1 | 查看 |
一、分子结构解析:磷酸化修饰与精准标记的完美结合
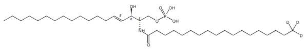
氘代C18神经酰胺-1-磷酸-d3的分子结构体现了信号分子研究与同位素标记技术的精妙融合。
关键的磷酸化修饰:与普通神经酰胺相比,C1P在鞘氨醇骨架的1号位羟基上增加了一个磷酸基团(-PO?H?)。这一看似简单的化学修饰彻底改变了其生物学特性——从原本主要促进凋亡的神经酰胺转变为促进细胞存活、增殖和迁移的关键信号分子。这种电荷和极性的改变也决定了其在细胞内的定位和转运特性。
精准的氘代标记策略:该分子的氘代标记位于其硬脂酰基末端,具体在脂肪酸链末端的三个氢原子被氘原子取代(18,18,18-d3)。这种末端标记策略在完全保持分子生物学活性的同时,为其提供了独特的质谱识别特征,使其在复杂的生物样本中能够被清晰辨识和准确定量。
明确的化学特征:其分子式为C36H69D3NO6P,分子量为648.95。CAS号2692624-25-0确保了其在全球化学数据库中的唯一标识,而SMILES和InChI等计算机可读的化学标识符为计算化学研究和数据库检索提供了标准化支持。
二、卓越的产品特性:前沿研究的质量保障
对于研究细胞信号传导的科研工作而言,试剂的质量保证是实验成功的先决条件。
严格的质量控制:该产品纯度严格保证高于99%,这种极高水平的纯度对于确保细胞信号实验的特异性和结果的可重复性至关重要,有效避免了杂质可能引起的非特异性生物学效应。
优化的保存条件:产品以纯净的固态形式提供,并要求在冷冻条件下储存。这一严格的储存条件确保了这一磷酸化鞘脂分子的长期稳定性,防止其降解或结构变化。
完善的质量文档:随产品提供的分析证书详细记录了批次特异性的质量参数,为研究的严谨性和数据可靠性提供了必要支持,确保不同实验室间研究结果的可比性。
三、在生物医学研究中的前沿应用
氘代C18神经酰胺-1-磷酸-d3凭借其精确的标记和完整的生物学功能,在多个前沿研究领域展现出独特价值。
1.炎症反应机制研究:C1P被证实是强烈的促炎症因子,能够刺激巨噬细胞、中性粒细胞等免疫细胞释放炎症介质。利用氘代C1P-d3作为研究工具,科学家可以精确追踪其在炎症信号通路中的动态变化,阐明其如何通过激活cPLA?、促进前列腺素合成等机制参与炎症反应的精细调控。
2.细胞增殖与迁移调控:在肿瘤生物学研究中,C1P被发现能够促进多种癌细胞的增殖、迁移和侵袭。通过氘代标记的C1P-d3,研究人员可以深入探究其在肿瘤微环境中的代谢动力学、细胞内转运机制以及下游信号网络的激活过程,为开发新的抗肿瘤治疗策略提供理论依据。
3.鞘脂信号网络研究:作为神经酰胺代谢通路的重要分支,C1P与神经酰胺、鞘氨醇-1-磷酸等信号分子共同构成复杂的调控网络。借助氘代C1P-d3,科学家能够绘制这一信号网络的完整图谱,揭示不同生理和病理条件下各信号分子之间的动态平衡关系。
4.脂质组学研究的精密内标:在复杂的生物样本(如细胞裂解液、组织匀浆、血浆)中准确定量内源性C1P的含量是脂质组学研究的重要挑战。氘代C1P-d3作为理想的内标物,能够完美校正样本前处理过程中的损失和质谱分析中的信号波动,实现对天然C1P的精准绝对定量,为疾病生物标志物的发现和验证提供可靠数据支持。
5.药物研发与药效评估:随着以C1P信号通路为靶点的新药研发日益受到重视,氘代C1P-d3可作为重要的药效评估工具,用于监测药物干预后细胞内C1P水平的变化,为新药筛选和药效评价提供关键的技术支持。
结论
氘代C18神经酰胺-1-磷酸-d3作为一款高端科研工具,成功地将稳定同位素标记技术的精确性与细胞信号传导研究的需求完美结合。它不仅为炎症机制、肿瘤生物学和细胞信号转导的基础研究提供了强有力的技术支撑,更为相关疾病的诊断标志物发现和治疗策略开发开辟了新的途径。随着对鞘脂信号网络研究的不断深入,这一精密分子探针必将为揭示生命奥秘贡献更多重要发现。
作为Larodan 在中国区总代理,艾美捷科技有限公司将为中国客户提供全面的Larodan 产品以及客户订制化服务,欢迎大家随时联系我们。
微信扫码在线客服