在细胞膜复杂多样的糖脂成分中,神经节苷脂以其精密的结构和重要的生物学功能占据着独特地位。这些含有唾液酸的酸性鞘糖脂不仅参与细胞识别、粘附和信号转导,更在细胞生长、分化及免疫应答中扮演关键角色。其中,神经节苷脂GD3作为一类重要的唾液酸化糖脂,尤其在神经系统发育、肿瘤发生以及免疫调节过程中显示出显著活性。产品编号为71-5203的氘代神经节苷脂GD3-d3,正是为深入探索这一复杂分子功能而设计的高纯度、稳定同位素标记研究工具,为科学家提供了揭示GD3代谢与功能的独特窗口。

作为Larodan在中国的区域总代理,艾美捷科技强烈推荐Larodan热销产品氘代神经节苷脂GD3-d3。产品仅用于科研,不可用于临床诊断。
| 产品名称 | 货号 | 详情 |
| 氘代神经节苷脂GD3-d3 | 71-5203-45 | 查看 |
一、分子结构解析:精密糖链与氘代标记的完美结合
氘代神经节苷脂GD3-d3的分子结构代表了糖生物学与同位素标记技术的精妙融合。
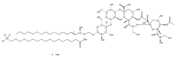
复杂的糖基化结构:神经节苷脂GD3的核心结构包含一个由葡萄糖、半乳糖组成的乳糖基骨架,连接两个α-2,8键合的N-乙酰神经氨酸(唾液酸)残基,形成独特的二唾液酸结构。这一特殊糖基化模式使其在细胞膜上具有特定的空间构象和电荷分布,是其生物学功能的结构基础。
精准的氘代标记策略:该分子的氘代标记位于其神经酰胺疏水尾部的硬脂酰基上,具体在脂肪酸链末端的三个氢原子被氘原子取代(18,18,18-d3)。这种标记策略在保持分子完整生物活性的同时,为其提供了独特的质谱识别特征,使其在复杂的生物样本中能够被清晰辨识。
明确的化学特征:其分子式为C??H???D?N?O??·2H?N,分子量高达1509.83。复杂的系统命名精确描述了其完整的糖基连接顺序和立体化学构型,而CAS号2692624-24-9确保了其在全球化学数据库中的唯一标识。SMILES和InChI等计算机可读的化学标识符为计算化学研究和数据库检索提供了标准化支持。
二、卓越的产品特性:前沿研究的质量保障
对于研究如此复杂生物大分子的科研工作而言,试剂的质量保证是实验成功的先决条件。
严格的质量控制:该产品纯度严格保证高于99%,这种极高水平的纯度对于确保细胞实验的特异性和结果的可重复性至关重要,有效避免了杂质可能引起的非特异性生物学效应。
优化的保存条件:产品以纯净的固态形式提供,并要求在冷冻条件下储存,这一严格的储存条件确保了这种复杂糖脂分子的长期稳定性,防止其降解或结构变化。
完善的质量文档:随产品提供的分析证书详细记录了批次特异性的质量参数,为研究的严谨性和数据可靠性提供了必要支持,确保不同实验室间研究结果的可比性。
三、在生物医学研究中的前沿应用
氘代神经节苷脂GD3-d3凭借其精确的标记和完整的生物学功能,在多个前沿研究领域展现出独特价值。
1.肿瘤生物学研究:GD3在多种肿瘤细胞中异常高表达,被认为与肿瘤的恶性表型、转移潜能和治疗抵抗密切相关。利用氘代GD3-d3作为示踪剂,研究人员可以深入探究其在肿瘤细胞中的代谢动力学、膜转运机制以及下游信号网络的激活过程,为开发以GD3为靶点的肿瘤治疗策略提供理论基础。
2.神经系统发育与疾病:在神经系统发育过程中,GD3的表达呈现精确的时空特异性,参与神经干细胞的增殖分化和神经元迁移。同时,在某些神经退行性疾病中观察到GD3代谢异常。通过氘代标记的GD3-d3,科学家能够追踪其在神经细胞中的代谢命运,阐明其在生理和病理条件下的具体作用机制。
3.免疫调节功能探索:近年研究发现GD3参与T细胞活化、抗原呈递等免疫过程的调控。利用这一工具分子,可以精确解析GD3在免疫突触形成和免疫信号传导中的动态变化,为理解自身免疫疾病和免疫耐受机制提供新的视角。
4.脂质组学研究的精密内标:在复杂的生物样本(如脑组织、肿瘤样本)中准确定量内源性GD3的含量是脂质组学研究的重要挑战。氘代GD3-d3作为理想的内标物,能够完美校正样本前处理过程中的损失和质谱分析中的信号波动,实现对天然GD3的精准绝对定量,为疾病生物标志物的发现和验证提供可靠数据支持。
5.代谢动力学研究:借助氘代标记,研究人员能够追踪GD3在体内的合成与降解途径,解析其在不同生理状态下的代谢周转速率,构建完整的GD3代谢网络图谱,深化对鞘脂代谢调控机制的理解。
结论
氘代神经节苷脂GD3-d3作为一款高端科研工具,成功地将稳定同位素标记技术的精确性与复杂糖脂生物学功能研究的需求相结合。它不仅为肿瘤学、神经科学和免疫学的基础研究提供了强有力的技术支撑,更为相关疾病的诊断标志物发现和治疗策略开发开辟了新的途径。随着糖生物学研究的不断深入,这一精密分子探针必将为揭示生命奥秘贡献更多重要发现。
作为Larodan 在中国区总代理,艾美捷科技有限公司将为中国客户提供全面的Larodan 产品以及客户订制化服务,欢迎大家随时联系我们。
微信扫码在线客服