在细胞生命活动的复杂交响中,脂质分子扮演着不可或缺的信使角色。其中,神经酰胺作为鞘脂代谢通路的核心枢纽,广泛参与调控细胞凋亡、衰老、应激响应与能量代谢等关键生理过程。值得注意的是,神经酰胺并非一个单一的分子,而是一个庞大的家族,其成员因脂肪酸链长度、饱和度的不同而功能各异。在众多成员中,硬脂酰基(C18)神经酰胺因其在细胞膜结构与特定信号通路中的独特作用而日益受到关注。产品编号为71-5118的氘代C18神经酰胺-d3(d18:1/18:0-d3),正是为了深入解密这一长链成员的功能而精心设计的高纯度科研工具。

作为Larodan在中国的区域总代理,艾美捷科技强烈推荐Larodan热销产品氘代C18神经酰胺-d3(d18:1/18:0-d3)。产品仅用于科研,不可用于临床诊断。
| 产品名称 | 货号 | 详情 |
| 氘代C18神经酰胺-d3(d18:1/18:0-d3) | 71-5118-1 | 查看 |
一、分子结构解析:特异性标记与功能设计
氘代C18神经酰胺-d3的分子设计,体现了现代科研对特异性与功能性的极致追求。
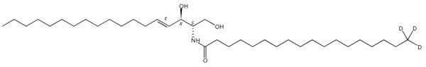
延长的脂肪酸链:其命名“d18:1/18:0-d3”精确揭示了其结构核心。其中,“d18:1”代表其鞘氨醇骨架(18个碳原子,1个双键),“/18:0”则指明其连接的是一条长达18个碳原子且完全饱和的硬脂酸。相比于更常见的C16神经酰胺,C18神经酰胺具有更长的疏水尾链,这可能导致其在细胞膜脂筏中的分布、流动性及与膜蛋白的相互作用存在细微但功能性的差异,从而介导独特的生物学信号。
精准的末端氘代标记:后缀“-d3”是其在研究方法学上的关键。与之前讨论的在鞘氨醇骨架上标记的氘代神经酰胺不同,此分子的三个氘原子(D)精确地标记在硬脂酸链的末端甲基上(第18位碳原子)。这种位点特异性的标记策略,使其在代谢研究中能够提供更清晰的示踪信息。
明确的化学身份:其分子式为C??H??D?NO?,分子量为568.97。氘代的引入赋予了其区别于天然C18神经酰胺的质量差,便于质谱检测。其唯一的CAS号2011762-82-4确保了它在全球化学数据库中的精准定位。而SMILES、InChI等国际化学标识符则为其在计算化学与数字信息系统中的应用提供了标准化蓝图。
二、卓越的产品特性:科研严谨性的基石
对于旨在揭示精细细胞机制的科学研究而言,试剂的质量是一切发现可信度的前提。
超高纯度保障:该产品的纯度严格保证高于99%。这种极高水平的纯度最大限度地消除了杂质可能引发的非特异性细胞效应,例如意外的细胞毒性或对目标信号通路的干扰,从而确保了实验数据的准确、可靠与高度可重复。
物理形态与稳定性:产品以纯净的固态形式提供,并明确规定需在冷冻条件下储存。这一严格的要求保障了该分子结构的长期稳定性,防止其降解或变质,确保其在每次实验中都能表现出一致的生物学活性。
质量认证文件:随产品提供的分析证书是其身份与品质的权威证明,详细记录了包括纯度、水分含量等在内的关键质控参数,为研究的严谨性、合规性与全球实验室间的可重复性提供了坚实支持。
三、在生物医学前沿研究中的核心应用
氘代C18神经酰胺-d3凭借其特异的链长与精准的标记,在以下几个前沿研究领域中展现出独特价值:
1.揭示超长链神经酰胺的特定生物学功能
近年来的研究表明,C18神经酰胺在特定病理生理过程中扮演着不可替代的角色。例如,它在胰岛素信号通路中显示出比短链或其他长链同系物更强的抑制效能,与胰岛素抵抗和2型糖尿病的发生发展密切相关。此外,它在细胞分化、特别是神经元分化中可能具有特定作用。使用氘代C18神经酰胺-d3作为研究工具,可以精确地探究其如何通过影响特定激酶(如Akt/PKB)的活性或改变膜微区特性来行使这些独特功能,为代谢性疾病和神经生物学的研究提供新的视角。
2.鞘脂代谢通路的精准动态示踪
神经酰胺处于复杂的代谢网络中。将位点特异性标记的氘代C18神经酰胺-d3引入生物系统后,研究人员可以利用高分辨率质谱技术,清晰地区分外源示踪剂与内源性背景。这不仅能够定量追踪C18神经酰胺自身的代谢周转,还能特别关注其整合到更复杂鞘脂(如鞘磷脂、糖鞘脂)中的路径与速率。由于标记位于脂肪酸链末端,它在研究脂肪酸链延长酶或相关代谢酶的功能时,能提供更为清晰的示踪路径。
3.作为质谱定量的金标准内标物
这是氘代标记分子最经典且至关重要的应用。在复杂的生物样本(如脂肪组织、肝脏、脑组织或血浆)中,准确定量内源性C18神经酰胺的绝对含量是脂组学研究和发现疾病生物标志物的基础。在样本处理前,加入已知量的氘代C18神经酰胺-d3作为内标,它可以完美地模拟天然C18神经酰胺在样本提取、纯化、色谱分离和质谱离子化过程中的所有行为。由于两者化学性质几乎一致仅在质量上存在微小差异,通过比较质谱信号响应,即可实现对天然C18神经酰胺的绝对定量,有效校正实验过程中的任何变异,获得高度精确和可靠的数据。
结论
综上所述,氘代C18神经酰胺-d3(产品编号71-5118)是一款为深入研究长链鞘脂信号而量身定制的精密科研工具。它集C18链长的独特生物学相关性与末端氘代标记的精准分析特性于一身,使其成为探索代谢疾病、神经科学及细胞信号传导等领域中特定问题的理想选择。从解析胰岛素抵抗的分子机制到探索细胞分化的脂质调控,这把“特制的钥匙”正助力科学家们开启一扇扇通往细胞内部更深层奥秘的大门。
作为Larodan 在中国区总代理,艾美捷科技有限公司将为中国客户提供全面的Larodan 产品以及客户订制化服务,欢迎大家随时联系我们。
微信扫码在线客服