在细胞生物学的精密调控网络中,神经酰胺作为鞘脂代谢通路的核心信使,被誉为“细胞命运的调控者”,广泛参与细胞凋亡、衰老、应激响应及代谢调节等关键过程。然而,神经酰胺家族成员繁多,其功能因脂肪酸链长度的不同而存在细微却关键的差异。在众多研究中,与短链模型化合物相比,长链神经酰胺,特别是棕榈酰基(C16)神经酰胺,因其在体内天然存在且具有独特的生物学效应而备受关注。产品编号为71-5116的氘代C16神经酰胺-d7 (d18:1-d7/16:0),正是为了精准探索这类内源性长链神经酰胺功能而设计的高端科研工具。

作为Larodan在中国的区域总代理,艾美捷科技强烈推荐Larodan热销产品氘代C16神经酰胺-d7 (d18:1-d7/16:0)。产品仅用于科研,不可用于临床诊断。
| 产品名称 | 货号 | 详情 |
| 氘代C16神经酰胺-d7 (d18:1-d7/16:0) | 71-5116-1 | 查看 |
一、分子结构解析:内在真实性与追踪性的融合
氘代C16神经酰胺-d7的卓越之处,在于其分子设计完美平衡了生理相关性与研究可操作性。
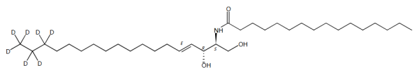
高度仿生的结构:其命名“d18:1-d7/16:0”精确描述了其构成。其中,“d18:1”代表其鞘氨醇骨架(含18个碳原子和1个双键),“/16:0”则指明其连接的是一条16个碳原子、完全饱和的棕榈酸。这正是生物体内最常见、含量最丰富的内源性神经酰胺分子之一,使其研究结果更能真实反映生理病理状态下的实际情况。
精准的氘代标记:后缀“-d7”是其在研究方法学上的精髓。它表示在鞘氨醇长链的末端(第15、16、17位碳原子上)有7个氢原子被其稳定同位素氘原子所取代。这一巧妙修饰在不影响分子化学和生物学性质的前提下,为其赋予了独特的“质量标签”。
明确的化学标识:其分子式为C??H??D?NO?,分子量为544.95。氘代的引入使其分子量产生可被质谱仪精确识别的差异。其系统名称N-[(1S,2R,3E)-2-羟基-1-(羟甲基)-3-十七碳烯-1-基-15,15,16,16,17,17,17-d7]十六酰胺*和唯一的CAS号1840942-13-3,确保了其在全球化学领域的唯一性和可追溯性。而SMILES、InChI等标识符则为计算化学和数字化检索提供了精准蓝图。
二、卓越的产品特性:数据可靠性的基石
对于探索细胞内精细调控机制的科研工作而言,试剂的纯度与稳定性是得出结论的前提。
超高纯度:该产品的纯度严格保证高于99%。这种极高水平的纯度最大限度地消除了杂质可能带来的非特异性细胞效应,例如意外的细胞毒性或对信号通路的干扰,从而确保了实验数据的准确、可靠与可重复。
物理形态与稳定性:产品以纯净的固态形式提供,并明确规定需在冷冻条件下储存。这一严格的储存要求保障了该分子结构的长期稳定,防止其降解或变质,确保其在每次实验中都能保持一致的生物活性。
质量认证:随产品提供的分析证书*是其身份与品质的权威证明,详细记录了批间差、杂质谱等关键信息,为研究的严谨性、合规性与可重复性提供了不可或缺的支持。
三、在生物医学前沿研究中的核心应用
氘代C16神经酰胺-d7凭借其“贴近生理”和“精准示踪”的双重优势,在多个前沿领域扮演着关键角色。
1.揭示长链神经酰胺的特有生物学功能
不同于研究常用的短链神经酰胺(如C2、C6),C16神经酰胺在细胞内的产生、运输及其作用的细胞器位点更为复杂和特异。它被证实在内质网应激、线粒体功能调控以及特定凋亡通路中具有独特作用。使用氘代C16神经酰胺-d7进行研究,能够更真实地模拟在疾病(如非酒精性脂肪肝、神经退行性疾病、癌症)状态下内源性C16神经酰胺升高的病理场景,从而揭示其在特定疾病发生发展中的精确机制,而非短链类似物可能带来的“过度简化”或“非生理性”效应。
2.鞘脂代谢通路的精准动态示踪
神经酰胺是鞘脂代谢网络的枢纽,其自身代谢周转极为活跃。将氘代C16神经酰胺-d7引入细胞或动物模型后,研究人员可以利用高分辨率质谱技术,凭借其“氘代标签”,清晰地将外源示踪剂与内源性背景区分开来。这使得科学家能够像安装了一个“实时追踪器”一样,定量监测C16神经酰胺如何被代谢转化为鞘磷脂、葡萄糖神经酰胺等更复杂的鞘脂,或如何被分解为鞘氨醇和S1P。这对于理解细胞在分化、应激或药物处理下鞘脂代谢网络的动态重塑至关重要。
3.作为质谱定量的金标准内标物
这是氘代标记分子最经典且至关重要的应用。在复杂的生物样本(如组织、血浆、细胞器提取物)中准确定量内源性C16神经酰胺的绝对含量,是脂组学研究和疾病生物标志物发现的基石。在样本前处理之初,加入已知量的氘代C16神经酰胺-d7作为内标,它可以完美地模拟天然C16神经酰胺在样本提取、纯化、色谱分离和质谱离子化过程中的所有行为。由于两者化学性质几乎一致仅质量不同,通过比较质谱信号响应,即可实现对天然C16神经酰胺的绝对定量,有效校正样本制备损失和仪器波动,获得高度精确和可靠的数据。
结论
综上所述,氘代C16神经酰胺-d7(产品编号 71-5116)不仅仅是一个简单的化学试剂,它更是连接分子结构与复杂生命现象的一座精密桥梁。它集内在生理真实性与尖端示踪技术于一身,使其成为深入研究长链神经酰胺在健康与疾病中特定功能的不可或缺的工具。从解析代谢性疾病的分子基础到开发新的肿瘤治疗策略,这把精心设计的“分子钥匙”,正助力全球科学家不断解锁细胞信号传导中更深层次的奥秘。
作为Larodan 在中国区总代理,艾美捷科技有限公司将为中国客户提供全面的Larodan 产品以及客户订制化服务,欢迎大家随时联系我们。
微信扫码在线客服