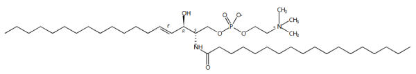
在鞘脂研究的精细图景中,科学家们既需要结构简化的探针,也离不开能够高度模拟天然状态的分子工具。N-十八烷酰基神经鞘氨醇磷酸胆碱,通常被称为C18-鞘磷脂或硬脂酰鞘磷脂,正是这样一种具有高度生物相关性的标准分子。它以其明确的长链结构和与天然鞘磷脂的极高相似性,成为探索膜生物学及鞘脂功能的理想模型。

作为Larodan在中国的区域总代理,艾美捷科技强烈推荐Larodan热销产品N-十八烷酰基神经鞘氨醇磷酸胆碱。产品仅用于科研,不可用于临床诊断。
| 产品名称 | 货号 | 详情 |
| N-己酰基神经鞘氨醇磷酸胆碱 | 56-1084-4 | 查看 |
一、明确的化学身份与近乎天然的结构
N-十八烷酰基神经鞘氨醇磷酸胆碱拥有清晰的身份标识,其产品编号为56-1084,CAS登记号为58909-84-5。该分子在学术界已获得关注,拥有引用记录。其丰富的同义词——如C18-Sphingomyelin、Stearoylsphingomyelin等——反映了其在研究领域的熟知度和重要性。
该分子最核心的价值在于其精密的、近乎天然的结构设计:
1.完整的鞘氨醇骨架:分子完整保留了天然的鞘氨醇碱基,包括其关键的反式双键(E构型)以及两个手性羟基((1R,2E)构型),确保了其与天然分子相同的空间构象和生物识别特性。
2.C18-硬脂酰长链:与短链或中链的合成类似物不同,其氨基连接的是一个由18个碳原子构成的、完全饱和的硬脂酰基。这一长链结构使其疏水性与天然鞘磷脂极为接近,能完美地嵌入细胞膜的脂质双层中,表现出与天然分子几乎无异的膜分配行为和相变温度。
3.磷酸胆碱头基:通过磷酸二酯键连接的磷酸胆碱头基,与天然鞘磷脂完全一致,负责分子的亲水性和特定的分子间相互作用。
从其分子式C41H83N2O6P和高达731.08g/mol的分子量即可见其庞大的结构。SMILES符号及等构SMILES清晰地展示了其“鞘氨醇-硬脂酰基-磷酸胆碱”的完整架构。国际化学标识符(InChI)则提供了标准化的数字指纹,确保其在数据库中的精准识别。
二、作为高端研究工具的核心价值
C18-鞘磷脂并非简单的化学试剂,它是连接合成化学与复杂生命系统的桥梁,其价值体现在多个前沿研究领域:
1.膜生物物理学的“黄金标准”:在构建人工脂质膜、脂质体或研究脂筏微域时,C18-鞘磷脂是模拟生理条件下膜行为的首选材料。其长链结构能与胆固醇发生强烈的相互作用,共同形成高度有序、液态有序相的脂筏结构,这对于研究膜蛋白的定位、激活及细胞信号转导至关重要。
2.鞘脂代谢与酶学研究的特异性底物:在探究鞘磷脂酶和鞘磷脂合成酶的活性时,使用C18-鞘磷脂能获得最贴近体内真实情况的数据。它是这些酶类的天然底物,因此其水解或合成动力学参数具有最高的生理参考价值,特别适用于研究在特定病理条件下(如尼曼-匹克病)这些酶的活性变化。
3.细胞信号导研究的生理性诱导剂:当细胞受到应激时,鞘磷脂酶水解内源性鞘磷脂产生相同链长的神经酰胺。因此,使用外源性的C18-鞘磷脂作为底物库,能够更真实地模拟这一过程,其水解产生的C18-神经酰胺所介导的细胞凋亡或衰老信号,被认为是最具生理相关性的。
三、可靠的产品规格
为满足高端科学研究对可靠性和一致性的苛刻要求,本产品具备以下严格标准:
高纯度保证:经分析验证,纯度高于98%,确保了在精密的生物物理测量和细胞实验中不会因杂质干扰而得出错误结论。
物理状态与储存:产品为固体,必须在冷冻条件下储存,以维持其长链结构在长期保存中的稳定性。
供应形式:以“Neat”(纯净物)形式提供,赋予研究人员最大的灵活性,可将其用于制备脂质体、Langmuir-Blodgett膜或直接作为生化反应的底物。
质量文件:随产品附带的《分析证书》是数据可靠性和实验可重复性的基石。
四、广泛而深入的应用前景
凭借其近乎天然的结构,C18-鞘磷脂在基础与转化研究中具有不可替代的作用:
1.神经科学研究:鞘磷脂是髓鞘的重要组成部分。利用C18-鞘磷脂可以深入研究髓鞘的形成、稳定性及其在脱髓鞘疾病(如多发性硬化症)中的破坏机制。
2.动脉粥样硬化研究:氧化型鞘磷脂在动脉粥样硬化斑块的形成中扮演关键角色。C18-鞘磷脂可作为起点,用于研究其在低密度脂蛋白(LDL)中的氧化过程及其被巨噬细胞摄取泡沫化的机制。
3.高级药物递送:基于C18-鞘磷脂的脂质体具有更高的膜稳定性和刚性,可用于封装药物,实现缓释或靶向递送。
作为Larodan 在中国区总代理,艾美捷科技有限公司将为中国客户提供全面的Larodan 产品以及客户订制化服务,欢迎大家随时联系我们。

微信扫码在线客服