在生命科学的分子图景中,鞘脂类物质构成了细胞膜上复杂而精妙的风景。其中,十七烷酰基神经酰胺三己糖苷(C17 CTH,产品号56-1061)以其高度明确的结构与功能,成为研究者解析生命奥秘的重要工具。这种被称为Gb3 d18:1/17:0的分子(CAS 536745-81-0),不仅是细胞膜的关键组分,更是探索遗传疾病与细胞信号传导的微观模型。

作为Larodan在中国的区域总代理,艾美捷科技强烈推荐Larodan热销产品十七烷酰基鞘氨醇三己糖苷(C17 CTH)。产品仅用于科研,不可用于临床诊断。
| 产品名称 | 货号 | 详情 |
| 十七烷酰基鞘氨醇三己糖苷(C17 CTH) | 56-1061-35 | 查看 |
精确的化学身份:从分子式到三维构象
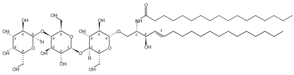
与许多天然提取物不同,C17 CTH拥有完全明确的化学特征。其分子式C53H99NO18和分子量1038.35,精确描述了这种三糖苷鞘脂的化学组成。从结构角度看,它由一个十七烷酰基脂肪酸链、一个鞘氨醇骨架(d18:1,含一个不饱和键)以及三个己糖(葡萄糖-半乳糖-半乳糖)组成的亲水头构成。
这种分子的精密性进一步体现在其立体化学描述中:CAS索引名详细指明了分子中手性中心的绝对构型(1S,2R)和双键的立体化学(3E)。SMILES、等性SMILES及InChI字符串这些计算机可读的标识符,则从不同角度编码了分子的连接性与三维结构,为计算化学、分子对接及数据库检索提供了数字基石。特别是InChIKey(FMSNZTFVKHTNKM-CNGLGKGFSA-N)作为分子的唯一“指纹”,确保了其在全球化学数据库中的精准识别。
生物功能与病理意义:从细胞膜到疾病标志
在生物学层面,C17 CTH(Gb3)是细胞膜鞘糖脂的重要组成部分。它突出的功能体现在作为法布雷病的生物标志物。这种罕见的X连锁遗传病源于α-半乳糖苷酶A活性缺失,导致Gb3在各种组织(包括血管、肾脏和心脏)中异常蓄积,引发多重器官损害。因此,检测组织中或体液中Gb3的水平成为法布雷病诊断与疗效监测的关键。
同时,Gb3也是志贺毒素的受体,这种毒素由某些大肠杆菌菌株产生,与溶血性尿毒综合征的发病密切相关。毒素与Gb3的结合会引发细胞内化毒素,导致蛋白质合成抑制和细胞死亡。研究Gb3与毒素相互作用的机制,对理解疾病病理及开发治疗策略具有重要意义。
作为研究工具的价值:标准化与特异性
产品信息揭示了C17 CTH作为高标准研究工具的特性:纯度>99%,物理状态为固体,以纯净物(Neat)形式提供,并附有分析证书(Certificate of Analysis)。这些指标保证了实验结果的可靠性与可重复性。其需要在冷冻(Freezer)条件下保存,反映了这类复杂糖脂分子对稳定性的严苛要求,以防止降解或结构变化。
产品编号56-1061-35对应的500微克包装,正是针对高端研究的典型配置——既满足质谱分析、细胞培养实验等对物料纯度和精确量的需求,又避免了大量储存可能带来的降解风险。这种高度定义的C17 CTH,使科学家能够进行受控实验,精确探究Gb3在细胞信号转导、脂筏功能及膜生物学中的特定角色,而不受天然提取物中常见结构异质性干扰。
结语
十七烷酰基神经酰胺三己糖苷(C17 CTH)远不止是化学目录中的一个条目。它是鞘脂世界中一个结构明晰的范例,是连接化学精确性与生物复杂性的桥梁。从法布雷病的病理积累到细菌毒素的致命结合,这种分子在人类健康与疾病中扮演着双重角色。而作为高纯度标准品,它将继续为科学家揭示细胞膜的奥秘、开发新的诊断方法与治疗策略提供不可或缺的分子基石,在微观世界中持续推动生命科学前沿的拓展。
Larodan 公司成立于 1963 年,坐落于瑞典斯德哥尔摩的卡罗林斯卡学院(诺贝尔奖委员会所在地)中,主要从事高纯度脂类的开发,制造和销售,产品包括脂肪酸,脂肪酸脂,甘油三酯,蜡脂,磷脂,鞘脂等,也提供稳定的放射性同位素化合物,NMR 消耗品和特种生化试剂以及环境和法医标准等,提供从ug 到 g 级包装,标准纯度高于99%。所有产品都附有分析证书,拥有很高的性价比。
作为Larodan 在中国区总代理,艾美捷科技有限公司将为中国客户提供全面的Larodan 产品以及客户订制化服务,欢迎大家随时联系我们。

微信扫码在线客服