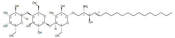
在生命科学的微观宇宙中,有一类名为脑苷脂(Cerebrosides)的分子,以其独特的结构和关键的功能,在神经系统的舞台上扮演着不可或缺的角色。当产品编号56-1060、CAS号85305-88-0这些冰冷的标识符背后,隐藏的是自然造物的精巧与生命维持的奥秘。脑苷脂,化学上被称为神经酰胺半乳糖苷,是鞘脂家族中的重要成员,主要存在于细胞膜,尤其是大脑的白质和髓鞘中,堪称守护神经信号的“绝缘卫士”。

作为Larodan在中国的区域总代理,艾美捷科技强烈推荐Larodan热销产品脑苷脂(半乳糖基神经酰胺)。产品仅用于科研,不可用于临床诊断。
| 产品名称 | 货号 | 详情 |
| 脑苷脂(半乳糖基神经酰胺) | 56-1060-8 | 查看 |
结构与特性:分子层面的精密设计
从其化学本质来看,脑苷脂的结构诠释了生命的简洁与高效。它由一个疏水的神经酰胺“锚”和一个亲水的半乳糖“头”组成。这种两亲性结构使其能自然地嵌入细胞膜的脂质双分子层中:神经酰胺部分深埋于膜内,而半乳糖部分则暴露在细胞表面。这种布局并非随意,它使得脑苷脂成为细胞识别和信号传导的门户。
尽管在提供的数据中,其精确的分子式和分子量被标注为“N/A”,这或许暗示了天然脑苷脂是一类结构相近的化合物群体,其脂肪酸链长和饱和度存在微异。然而,其高度专一的化学性质是明确的。产品信息显示,其纯度高于99%,物理状态为固体,并以“Neat”(即纯净物)形式提供,这些数据共同指向了这是一种用于高标准研究的高纯度物质。它需要在冷冻条件下保存,以确保其生物活性和化学稳定性,防止糖苷键水解或分子降解,这细微的存储要求(Freezer)本身也揭示了其生物分子的娇贵特性。
生物学功能:从结构支撑到信号传递
脑苷脂的核心功能,首先体现在其作为细胞膜结构性组分的作用。它们与胆固醇、其他鞘脂共同构成细胞膜的“脂筏”——膜上更为有序、紧密的微域。这些脂筏如同细胞膜上的“功能平台”,能够富集特定的蛋白质,从而高效地调控跨膜信号转导、物质运输和细胞黏附等过程。
然而,脑苷脂最引人注目的角色在于其是构成髓鞘的关键成分。髓鞘是包裹在神经元轴突外的脂质绝缘层,其作用类似于电线外部的橡胶皮,能极大地加速神经冲动的跳跃式传导。脑苷脂为髓鞘提供了必要的结构和功能完整性,确保我们的思维、感觉和运动指令能够以毫秒级的速度传递。一旦脑苷脂的代谢出现异常,例如在遗传性疾病如戈谢病或某些脑白质营养不良症中,髓鞘的形成或稳定就会受损,导致严重的神经系统功能障碍。
此外,位于细胞表面的半乳糖残基,如同细胞的身份铭牌,参与细胞间的识别与相互作用。近年研究还揭示,脑苷脂及其代谢产物(如神经酰胺)是重要的生物活性信号分子,参与调控细胞的生长、分化、衰老乃至程序性死亡(凋亡)。
应用与展望:从基础研究到未来潜能
产品目录中“56-1060-8, 50 mg”的选项,正是脑苷脂作为重要科研工具的体现。高纯度的脑苷脂标准品,是进行脂质组学分析、研究鞘脂代谢途径、探索神经系统疾病机理以及筛选潜在药物的宝贵资源。科学家们通过在体外细胞模型或动物模型中研究脑苷脂的代谢与功能,试图解开一系列神经退行性疾病(如阿尔茨海默病、多发性硬化症)的谜团。
展望未来,对脑苷脂的深入研究不仅有助于我们理解生命的基本规律,更可能为众多难治性神经系统疾病带来新的诊断标志物和治疗靶点。这个看似简单的“神经酰胺-半乳糖”结构,恰如一把微观世界的钥匙,正等待着科学家去开启更多关于大脑与细胞通讯的奥秘之门。
综上所述,脑苷脂远不止是化学目录中的一个条目(产品号56-1060,CAS 85305-88-0),它是生命,尤其是高级神经活动赖以维系的基础分子之一。从维持细胞膜的物理结构,到保障神经信号的飞速传导,再到调控细胞的命运,脑苷脂默默无闻却又至关重要地行使着它的使命,静待人类更深入地探索与发掘。
Larodan 公司成立于 1963 年,坐落于瑞典斯德哥尔摩的卡罗林斯卡学院(诺贝尔奖委员会所在地)中,主要从事高纯度脂类的开发,制造和销售,产品包括脂肪酸,脂肪酸脂,甘油三酯,蜡脂,磷脂,鞘脂等,也提供稳定的放射性同位素化合物,NMR 消耗品和特种生化试剂以及环境和法医标准等,提供从ug 到 g 级包装,标准纯度高于99%。所有产品都附有分析证书,拥有很高的性价比。
作为Larodan 在中国区总代理,艾美捷科技有限公司将为中国客户提供全面的Larodan 产品以及客户订制化服务,欢迎大家随时联系我们。

微信扫码在线客服