N-己酰基葡萄糖神经酰胺(N-Hexanoyl-glucosylceramide,简称N-C6:0-Glucocerebroside)是一种结构独特的鞘糖脂化合物,其CAS号为2692623-77-9,产品编号为56-1049。该化合物以其特殊的短链酰基结构和明确的空间构型,在细胞膜生物学和代谢研究中展现出独特价值。本文将从其化学特性、生物合成途径及研究应用三个方面进行系统阐述。

作为Larodan在中国的区域总代理,艾美捷科技强烈推荐Larodan热销产品N-己酰基葡萄糖神经酰胺。产品仅用于科研,不可用于临床诊断。
| 产品名称 | 货号 | 详情 |
| N-己酰基葡萄糖神经酰胺 | 56-1049-4 | 查看 |
一、化学特性与结构分析
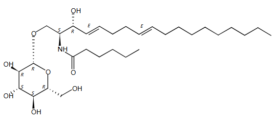
该化合物的分子式为C??H??NO?,分子量为557.76,其结构具有以下几个显著特征:
1.短链酰基结构:与常见的长链神经酰胺不同,该化合物采用己酰基(C6:0)作为酰基链,这种较短的碳链长度(仅6个碳原子)显著增强了分子的亲水性。
2.不饱和鞘氨醇骨架:分子中包含一个特殊的十七碳二烯链(3E,7E-构型),形成两个共轭双键体系,这种不饱和结构对其膜流动性具有重要影响。
3.葡萄糖头部基团:β-构型的D-葡萄吡喃糖基通过糖苷键与神经酰胺连接,赋予分子典型的两亲性特征。
从立体化学角度看,该分子包含多个手性中心,其绝对构型为(1S,2R)。通过InChI键(BEZYYCVVAKYDLA-VNKFPRAASA-N)可以精确描述其空间构型。该化合物在常温下为固体,纯度超过98%,需在冷冻条件下保存以确保稳定性。
二、生物合成与代谢特征
N-己酰基葡萄糖神经酰胺在生物体内通过特定的代谢途径合成:
1.合成途径:在神经酰胺合成酶的作用下,己酰辅酶A与鞘氨醇骨架特异性结合,随后通过葡萄糖基转移酶催化,完成葡萄糖基的加成反应。
2.代谢特点:由于较短的酰基链长度,该化合物在体内的代谢速率明显快于长链类似物,这一特性使其成为研究鞘糖脂代谢动力学的理想模型。
3.膜特性影响:短链结构使其在细胞膜中的分布和取向与天然长链神经酰胺存在显著差异,这种差异为研究脂质-蛋白质相互作用提供了独特视角。
三、研究应用与科学价值
该化合物在多个研究领域具有重要应用价值:
1.酶学研究工具
作为葡萄糖脑苷脂酶(GCase)的理想底物,其较短的酰基链使得酶促反应速率显著提高,这一特性被广泛应用于戈谢病相关酶学检测和抑制剂筛选研究。
2.膜生物学研究
通过比较短链与长链神经酰胺在膜特性方面的差异,研究人员能够更深入地理解:
-脂质筏的形成机制
-跨膜信号传导过程
-细胞膜流动性调节
3.疾病模型构建
在代谢性疾病研究中,该化合物可作为:
-脂质代谢异常的研究探针
-溶酶体储存障碍疾病的体外模型
-药物筛选和评估的工具分子
4.药物研发平台
基于其良好的水溶性和明确的代谢途径,该化合物已成为:
-新型酶替代疗法的先导化合物
-靶向给药系统的载体分子
-代谢调节药物的设计模板
结语
N-己酰基葡萄糖神经酰胺以其独特的短链结构和明确的空间构型,为鞘糖脂研究提供了新的视角。其优异的物理化学特性和明确的代谢特征,使其成为连接基础研究与临床应用的重要桥梁。随着脂质组学技术的不断进步和单分子检测方法的发展,对此类化合物的深入研究将继续推动我们在细胞膜生物学、代谢调控和疾病治疗等领域取得新的突破。未来,基于这类化合物的研究有望为代谢性疾病的诊断和治疗提供新的思路和方法。
Larodan 公司成立于 1963 年,坐落于瑞典斯德哥尔摩的卡罗林斯卡学院(诺贝尔奖委员会所在地)中,主要从事高纯度脂类的开发,制造和销售,产品包括脂肪酸,脂肪酸脂,甘油三酯,蜡脂,磷脂,鞘脂等,也提供稳定的放射性同位素化合物,NMR 消耗品和特种生化试剂以及环境和法医标准等,提供从ug 到 g 级包装,标准纯度高于99%。所有产品都附有分析证书,拥有很高的性价比。
作为Larodan 在中国区总代理,艾美捷科技有限公司将为中国客户提供全面的Larodan 产品以及客户订制化服务,欢迎大家随时联系我们。

微信扫码在线客服