在当代生命科学研究的微观世界里,科学家们一直在寻找能够揭示细胞膜动态过程的理想工具。N-十二酰基-NBD-半乳糖神经酰胺(N-Dodecanoyl-NBD-galactosylceramide)正是这样一种精心设计的分子探针,它以其独特的化学结构和卓越的荧光特性,为研究人员打开了探索鞘脂代谢和细胞膜生物学的新窗口。

作为Larodan在中国的区域总代理,艾美捷科技强烈推荐Larodan热销产品N-十二酰基-NBD-半乳糖神经酰胺。产品仅用于科研,不可用于临床诊断。
| 产品名称 | 货号 | 详情 |
| N-十二酰基-NBD-半乳糖神经酰胺 | 39-5067-39 | 查看 |
精密的分子构造
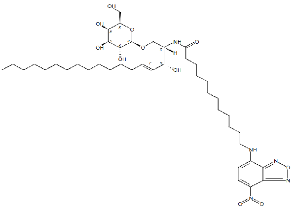
这款荧光探针的分子式为C42H71N5O11,分子量为822.04,具有明确的化学特征。其CAS编号474942-98-8确保了化合物的唯一标识性,而系统命名"Dodecanamide, N-[(1S,2R,3E)-1-[(β-D-半乳吡喃糖氧基)甲基]-2-羟基-3-十七碳烯-1-基]-12-[(7-硝基-2,1,3-苯并恶二唑-4-基)氨基]-"精确描述了其复杂的立体化学结构。
该分子的设计巧妙融合了天然半乳糖神经酰胺的生物学特性和NBD荧光团的检测优势。十二碳酰基链作为连接臂,既维持了分子的脂溶性,又确保了荧光标记不会显著影响母体分子的生物学行为。NBD(7-硝基-2,1,3-苯并恶二唑-4-基)荧光团在蓝色光激发下发出明亮的绿色荧光,具有较高的光稳定性和量子产率,非常适合长时间的实时监测实验。
严格的质量控制
为确保实验结果的准确性和可重复性,该化合物的纯度严格控制在99%以上。产品需要在冷冻条件下保存,以保持其化学稳定性和荧光性能。供应商提供的分析证书详细记录了每批次产品的质量参数,为科研工作的严谨性提供了有力保障。研究人员可根据实验需求选择100μg等不同规格的包装,既满足探索性研究的需要,也保证材料的新鲜度。
在生物医学研究中的独特价值
在神经科学研究领域,半乳糖神经酰胺是髓鞘的重要组成部分,在神经信号传导中发挥着关键作用。通过使用N-十二酰基-NBD-半乳糖神经酰胺,研究人员能够实时追踪这类重要脂质在活细胞中的合成、转运和代谢过程。这种探针特别适用于研究少突胶质细胞和施万细胞中髓鞘的形成与维持机制。
在细胞生物学研究中,该探针为理解脂筏微结构提供了重要工具。半乳糖神经酰胺倾向于聚集在细胞膜的脂筏区域,这些区域被认为是许多重要信号转导过程的平台。通过荧光显微镜观察标记探针的分布,科学家能够深入研究这些膜微域的组织结构和功能特性。
技术优势与研究前景
与传统的生化分析方法相比,荧光标记技术具有不可替代的优势。它允许研究人员在活细胞中进行实时、动态的观察,而不会显著干扰正常的细胞生理过程。NBD荧光团的激发和发射特性使其与大多数标准荧光显微镜系统兼容,便于在常规实验室条件下开展研究。
随着超高分辨率显微镜技术的进步,如STED和PALM/STORM等技术的广泛应用,N-十二酰基-NBD-半乳糖神经酰胺的空间分辨率将进一步提升。这些技术的发展将使研究人员能够在纳米尺度上解析鞘脂在细胞膜中的精确分布和动态变化。
Larodan 公司成立于 1963 年,坐落于瑞典斯德哥尔摩的卡罗林斯卡学院(诺贝尔奖委员会所在地)中,主要从事高纯度脂类的开发,制造和销售,产品包括脂肪酸,脂肪酸脂,甘油三酯,蜡脂,磷脂,鞘脂等,也提供稳定的放射性同位素化合物,NMR 消耗品和特种生化试剂以及环境和法医标准等,提供从ug 到 g 级包装,标准纯度高于99%。所有产品都附有分析证书,拥有很高的性价比。
作为Larodan 在中国区总代理,艾美捷科技有限公司将为中国客户提供全面的Larodan 产品以及客户订制化服务,欢迎大家随时联系我们。

微信扫码在线客服