在生命科学的微观世界里,细胞膜不仅是分隔细胞内外环境的物理屏障,更是一个充满动态交流的分子舞台。要深入解析这个舞台上的精妙演出,科学家们需要特殊的"分子探照灯"——荧光标记鞘糖脂。其中,N-十二酰基-NBD-神经酰胺三己糖苷(N-Dodecanoyl-NBD-ceramide trihexoside)正以其独特的分子结构和卓越的荧光特性,成为探索鞘糖脂代谢与功能的利器。

作为Larodan在中国的区域总代理,艾美捷科技强烈推荐Larodan热销产品N-十二酰基-NBD-神经酰胺三己糖苷。产品仅用于科研,不可用于临床诊断。
| 产品名称 | 货号 | 详情 |
| N-十二酰基-NBD-神经酰胺三己糖苷 | 39-5065-39 | 查看 |
精密的分子设计:结构与特性解析
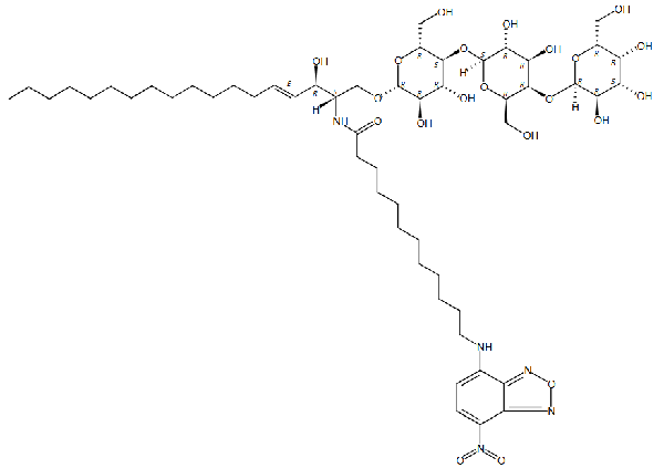
这款荧光探针的分子式C54H91N5O21和分子量1146.32,展现了其精巧的化学架构。CAS编号2692623-26-8唯一标识了这种化合物,而其系统命名"Dodecanamide, N-[(1S,2R,3E)-1-[[(O-α-D-半乳吡喃糖基-(1→4)-O-β-D-半乳吡喃糖基-(1→4)-β-D-葡萄吡喃糖基)氧基]甲基]-2-羟基-3-十七碳烯-1-基]-12-[(7-硝基-2,1,3-苯并恶二唑-4-基)氨基]-"精确描述了其复杂的三糖结构和荧光标记位置。
该分子的独特之处在于将天然的神经酰胺三己糖苷结构与强荧光NBD(7-硝基-2,1,3-苯并恶二唑-4-基)基团通过十二碳酰基链共价连接。这种设计既保留了鞘糖脂的生物学特性,又赋予了其卓越的荧光性能,使其在蓝色光激发下能发出明亮的绿色荧光。
质量控制与储存要求
为确保实验数据的可靠性,该化合物的纯度严格控制在99%以上,这一高纯度标准显著优于许多同类产品。产品需在冷冻条件下保存,以维持其化学稳定性和荧光性能。供应商提供的分析证书确保了每批次产品质量的一致性,为科研工作的可重复性提供了坚实保障。研究人员可根据实验需求选择100μg等规格装量,满足不同规模研究的需求。
在生物医学研究中的应用价值
在膜生物学研究中,N-十二酰基-NBD-神经酰胺三己糖苷主要应用于鞘糖脂代谢途径的可视化追踪。当细胞摄取这种荧光标记的鞘糖脂类似物后,研究人员可通过共聚焦显微镜实时观察其在细胞内的分布、转运及代谢过程。这种探针能够模拟天然鞘糖脂的行为,为研究糖脂在膜微域中的组织结构和功能提供了重要工具。
特别值得关注的是,该探针在溶酶体贮积症研究中的独特价值。神经酰胺三己糖苷是葡萄糖神经酰胺的重要衍生物,其代谢异常与多种遗传性疾病密切相关。通过追踪N-十二酰基-NBD-神经酰胺三己糖苷的细胞内轨迹,科学家能够深入解析这些疾病的发生机制,为开发新的治疗策略提供理论基础。
技术优势与研究前景
与传统的放射性标记方法相比,荧光标记技术具有安全性高、操作简便、实时监测等优势。NBD荧光团的光稳定性和高量子产率使其特别适合长时间活细胞成像研究。研究人员在使用时需注意选择合适的溶剂系统进行溶解,并优化实验条件以保持细胞活性。
随着超分辨率显微技术的快速发展,如STORM和STED等技术的广泛应用,N-十二酰基-NBD-神经酰胺三己糖苷等荧光探针的空间分辨率将进一步提升。这些技术进步将使我们能够在纳米尺度上观察鞘糖脂的分布和动态变化,为理解细胞膜的精细组织结构开辟新的视野。
Larodan 公司成立于 1963 年,坐落于瑞典斯德哥尔摩的卡罗林斯卡学院(诺贝尔奖委员会所在地)中,主要从事高纯度脂类的开发,制造和销售,产品包括脂肪酸,脂肪酸脂,甘油三酯,蜡脂,磷脂,鞘脂等,也提供稳定的放射性同位素化合物,NMR 消耗品和特种生化试剂以及环境和法医标准等,提供从ug 到 g 级包装,标准纯度高于99%。所有产品都附有分析证书,拥有很高的性价比。
作为Larodan 在中国区总代理,艾美捷科技有限公司将为中国客户提供全面的Larodan 产品以及客户订制化服务,欢迎大家随时联系我们。

微信扫码在线客服