在鞘脂研究的精细图景中,对工具探针的性能要求日益提高。C12 NBD-L-threo-鞘氨醇(产品编号:39-5059)作为该系列探针的重要成员,通过其独特的结构设计,实现了荧光标记性能与膜整合稳定性的优化结合,为深入研究不饱和鞘脂的细胞行为提供了可靠工具。

作为Larodan在中国的区域总代理,艾美捷科技强烈推荐Larodan热销产品C12 NBD-L-threo-鞘氨醇。产品仅用于科研,不可用于临床诊断。
| 产品名称 | 货号 | 详情 |
C12 NBD-L-threo-鞘氨醇 | 39-5059-39 | 查看 |
一、分子结构:双重特性的精密整合
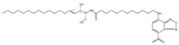
该化合物(CAS号:474943-08-3)的分子式为C36H61N5O6,分子量为659.9。其结构设计体现了功能导向的精密考量:
1. 不饱和鞘氨醇骨架:与二氢鞘氨醇不同,其疏水长链中在第三位碳原子处含有一个反式(E)双键(由CAS名中的“(3E)”明确标识)。这一关键结构使其更准确地模拟天然鞘脂中普遍存在的不饱和特性,从而在膜流动性和脂质相互作用方面展现出与饱和形式不同的物理化学行为。
2. 长链C12 NBD荧光标记:NBD荧光报告基团通过一个长达12个碳原子的脂肪链(十二酰胺)与鞘氨醇骨架相连。更长的连接臂增强了整个分子的疏水性,使其能够更稳固地嵌入细胞膜的脂双层中,有效减少了探针在活细胞成像过程中因“翻转”而导致的信号损失或定位偏差。
3. L-threo立体构型:该探针采用L-threo构型,这一非天然的立体化学特性使其通常不被细胞内源性的鞘脂代谢酶系有效识别和利用。因此,它主要作为一种代谢惰性的定位探针,特别适合于研究鞘脂的膜运输和分布动力学,而非其复杂的代谢转化途径。
二、产品规格与质量控制
本品秉承高标准,其纯度提升至>99%,最大限度地减少了杂质对实验结果可能造成的干扰。产品以固态纯品形式提供,规格为100微克,需在冷冻条件下储存以确保长期稳定性。随附的分析证书为研究的严谨性和可重复性提供了保障。
三、核心应用与科研价值
C12 NBD-L-threo-鞘氨醇的独特结构使其在以下研究领域展现出显著优势:
*高稳定性膜动力学研究:C12长链赋予其卓越的膜锚定能力,使其成为长时间观察膜运输、囊泡形成及脂筏动态等慢速过程的理想工具。其稳定的荧光信号有助于获得信噪比更高、更可靠的时序成像数据。
*不饱和鞘脂的膜行为解析:通过与饱和的C12 NBD-L-threo-二氢鞘氨醇进行对照实验,研究人员可以精确揭示双键结构本身对鞘脂在膜中的侧向组织、跨 bilayer 分布以及与其他脂质相互作用的影响,深化对膜生物物理性质的理解。
*作为精准的定位参照物:由于其代谢惰性,该探针在细胞内的分布主要反映了其运输和定位路径,而非复杂的代谢产物。这使得它非常适合用作共定位研究的参照,或用于验证其他具有代谢活性的鞘脂类似物(如D-erythro构型)的最终定位是否由特定代谢过程所驱动。
Larodan 公司成立于 1963 年,坐落于瑞典斯德哥尔摩的卡罗林斯卡学院(诺贝尔奖委员会所在地)中,主要从事高纯度脂类的开发,制造和销售,产品包括脂肪酸,脂肪酸脂,甘油三酯,蜡脂,磷脂,鞘脂等,也提供稳定的放射性同位素化合物,NMR 消耗品和特种生化试剂以及环境和法医标准等,提供从ug 到 g 级包装,标准纯度高于99%。所有产品都附有分析证书,拥有很高的性价比。
作为Larodan 在中国区总代理,艾美捷科技有限公司将为中国客户提供全面的Larodan 产品以及客户订制化服务,欢迎大家随时联系我们。
微信扫码在线客服