在鞘脂研究的精细画卷中,科学家们不仅需要标记代谢通路的工具,更需揭示特定结构带来的独特生物学功能。C6 NBD-L-threo-鞘氨醇(产品编号:39-5058)正是在此需求下应运而生的一款关键分子探针。它与饱和的二氢鞘氨醇类似物仅存在细微的结构差异,却为研究不饱和鞘脂的动态与功能打开了新的窗口。

作为Larodan在中国的区域总代理,艾美捷科技强烈推荐Larodan热销产品C6 NBD-L-threo-鞘氨醇。产品仅用于科研,不可用于临床诊断。
| 产品名称 | 货号 | 详情 |
C6 NBD-L-threo-鞘氨醇 | 39-5058-1 | 查看 |
一、分子结构:关键双键的引入
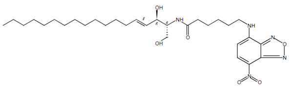
该化合物的CAS号为114301-95-0,其分子式为C30H49N5O6,分子量为575.74。其核心结构由熟悉的两个部分构成:
1. L-threo-鞘氨醇骨架:这是分子的基础,保留了特定的L-threo立体构型,常被用作研究中的对照。
2. C6 NBD荧光报告基团:通过一个6碳连接臂(己酰胺)与鞘氨醇骨架相连的NBD荧光基团,提供强烈的黄绿色荧光信号。
然而,与C6 NBD-L-threo-*二氢*鞘氨醇相比,本产品的根本区别在于其鞘氨醇长链中引入了一个反式(E)双键(由其CAS名中的“3-heptadecenyl”指明)。这个双键结构使得它从不饱和的“二氢”形式,转变为天然鞘氨醇所具备的不饱和结构。这一微小的化学变化,深刻影响了其物理性质及在细胞膜中的行为,使其更接近某些天然鞘脂的疏水特性。
二、产品规格与物理性质
作为高标准的研究试剂,其纯度严格控制在>98%以上,并随附分析证书以确保实验的重复性与可靠性。产品以固态纯品的形式提供,规格包括100微克和1毫克,为不同规模的实验需求提供了灵活性。为确保其化学稳定性,建议在冷冻条件下储存。
三、核心应用与科学价值
C6 NBD-L-threo-鞘氨醇的独特价值,正源于其不饱和的结构特性,使其在特定研究场景中成为不可替代的工具。
*研究不饱和鞘脂的独特膜性质:双键的引入改变了分子的疏水链构象和堆积能力,从而影响其在细胞膜脂双层中的定位、流动性及与膜蛋白的相互作用。该探针可用于研究与饱和鞘脂相比,不饱和鞘脂在膜微区(如脂筏)的形成、稳定性及功能中所扮演的角色。
*作为鞘氨醇直接代谢途径的探针:尽管是L-threo构型,其不饱和骨架使其在结构上更接近直接的信号分子——鞘氨醇。因此,在特定的研究体系中,它可能被用于探索鞘氨醇本身的代谢去向或其作为信号分子的模拟,特别是在研究与细胞增殖、凋亡等过程相关的鞘脂信号事件时。
*与饱和类似物构成完美对照:在精心设计的实验中,研究人员可以同时使用C6 NBD-L-threo-*鞘氨醇*(不饱和)和C6 NBD-L-threo-*二氢鞘氨醇*(饱和)。通过比较两者在细胞内的分布、代谢速率及最终定位的差异,可以精确揭示双键结构本身对鞘脂行为与功能的特异性影响,从而剥离出立体化学之外的结构-功能关系。
Larodan 公司成立于 1963 年,坐落于瑞典斯德哥尔摩的卡罗林斯卡学院(诺贝尔奖委员会所在地)中,主要从事高纯度脂类的开发,制造和销售,产品包括脂肪酸,脂肪酸脂,甘油三酯,蜡脂,磷脂,鞘脂等,也提供稳定的放射性同位素化合物,NMR 消耗品和特种生化试剂以及环境和法医标准等,提供从ug 到 g 级包装,标准纯度高于99%。所有产品都附有分析证书,拥有很高的性价比。
作为Larodan 在中国区总代理,艾美捷科技有限公司将为中国客户提供全面的Larodan 产品以及客户订制化服务,欢迎大家随时联系我们。
微信扫码在线客服