在细胞生物学的前沿研究中,对脂质代谢与膜动态进行精细成像始终是一项核心挑战。继C6 NBD-二氢鞘氨醇之后,科学家们开发出了链长更长的C12 NBD-L-threo-二氢鞘氨醇(产品编号:39-5055),它通过优化设计,为窥视细胞内膜系统的奥秘提供了更为强大的工具。

作为Larodan在中国的区域总代理,艾美捷科技强烈推荐Larodan热销产品C12 NBD-L-threo-二氢鞘氨醇。产品仅用于科研,不可用于临床诊断。
| 产品名称 | 货号 | 详情 |
C12 NBD-L-threo-二氢鞘氨醇 | 39-5055-39 | 查看 |
一、分子结构解析
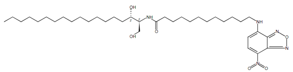
该化合物的CAS号为474943-07-2,其系统名称(Dodecanamide, N-[(1S,2S)-2-hydroxy-1-(hydroxymethyl)heptadecyl]-12-[(7-硝基-2,1,3-苯并氧杂二唑-4-基)氨基]-)精确描述了其构成。其分子式为C36H63N5O6,分子量增至661.92道尔顿。
与C6类似物相比,C12版本的核心区别在于其连接臂的长度:
*延长的疏水链:荧光报告基团NBD(7-硝基-2,1,3-苯并氧杂二唑)通过一个长达12个碳原子(十二酰胺)的脂肪链与L-threo-二氢鞘氨醇骨架相连。更长的疏水链显著改变了探针的理化性质。
*稳定的荧光信号:NBD基团依然提供强效的黄绿色荧光(激发/发射波长约在465/535 nm),但其在膜结构中的定位和稳定性因连接臂加长而可能有所不同。
二、产品规格与特性
本品同样秉承高标准,纯度>98%,并附有分析证书以确保质量。它以固态形式提供,常见规格为100微克,需在冷冻条件下储存以维持最佳稳定性。
三、科学应用与独特优势
C12 NBD-L-threo-二氢鞘氨醇并非C6版本的简单替代,而是在特定研究场景中展现出独特优势:
*更佳的膜锚定能力:更长的疏水链使其与细胞膜脂双层的相互作用更强,探针在膜中的嵌入更为稳定。这有助于进行需要长时间观察的动力学研究,减少探针从膜中“翻转”或非特异性交换所造成的数据干扰。
*靶向特定的细胞内区间:研究表明,不同链长的NBD-鞘脂类似物在细胞内可能会被分选到不同的细胞器。C12版本可能更倾向于在高尔基体等特定的内膜系统中富集,因此它成为研究鞘脂在内膜系统中合成、分类与运输过程的更精准工具。
*揭示脂质运输路径:在追踪鞘脂代谢途径时,C12标记的分子可能揭示与C6标记分子略有不同的代谢命运和运输路径,这为科学家们完整描绘细胞内复杂的脂质网络提供了互补的视角和证据。
Larodan 公司成立于 1963 年,坐落于瑞典斯德哥尔摩的卡罗林斯卡学院(诺贝尔奖委员会所在地)中,主要从事高纯度脂类的开发,制造和销售,产品包括脂肪酸,脂肪酸脂,甘油三酯,蜡脂,磷脂,鞘脂等,也提供稳定的放射性同位素化合物,NMR 消耗品和特种生化试剂以及环境和法医标准等,提供从ug 到 g 级包装,标准纯度高于99%。所有产品都附有分析证书,拥有很高的性价比。
作为Larodan 在中国区总代理,艾美捷科技有限公司将为中国客户提供全面的Larodan 产品以及客户订制化服务,欢迎大家随时联系我们。
微信扫码在线客服