在生命科学研究的精细世界中,特异性分子探针犹如精准的“分子探针”,使得科学家能够在微观层面实时追踪生物过程的动态。C6 NBD-L-threo-二氢鞘氨醇(产品编号:39-5054)正是这样一款在细胞生物学,尤其是脂质代谢与膜运输研究中不可或缺的荧光标记工具。

作为Larodan在中国的区域总代理,艾美捷科技强烈推荐Larodan热销产品C6 NBD-L-threo-二氢鞘氨醇。产品仅用于科研,不可用于临床诊断。
| 产品名称 | 货号 | 详情 |
C6 NBD-L-threo-二氢鞘氨醇 | 39-5054-39 | 查看 |
一、化学本质与结构特性
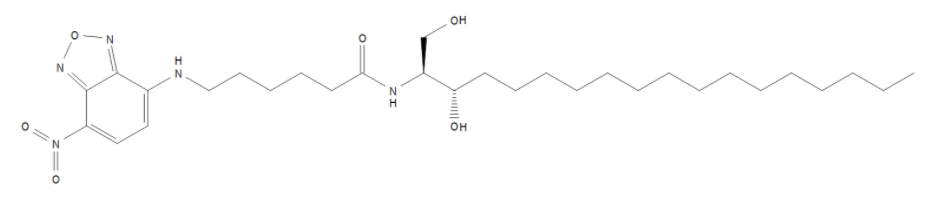
该化合物的CAS号为114301-98-3,其系统化学名揭示了其复杂的结构:“Hexanamide, N-[(1S,2S)-2-hydroxy-1-(hydroxymethyl)heptadecyl]-6-[(7-硝基-2,1,3-苯并氧杂二唑-4-基)氨基]”。从分子式C30H51N5O6和分子量577.76道尔顿可以看出,这是一个结构精密的有机分子。
它的核心结构由两部分巧妙连接而成:
1. L-threo-二氢鞘氨醇骨架:这是一个具有特定立体构型((1S,2S))的鞘脂类基本结构单元,包含一个长的十七碳烃链以及两个羟基,赋予了分子亲脂性并使其能够模拟天然鞘脂在细胞内的行为。
2. C6 NBD荧光报告基团:一个6-碳链(己酰胺)连接的7-硝基-2,1,3-苯并氧杂二唑(NBD)荧光基团。NBD是一个强效的荧光发色团,其最大激发光波长约在465 nm,发射光波长约在535 nm,发出明亮的黄绿色荧光,便于通过荧光显微镜等设备进行检测。
二、产品规格与物理性质
作为一款高标准的研究试剂,其纯度经过严格把控,通常高于98%(详见分析证书),确保了实验结果的可靠性与重复性。产品以纯净的固体形态提供,规格常见为100微克等小包装,以适应生命科学研究中微量、高价值的使用需求。鉴于其稳定性,建议在冷冻条件下储存,以保持长久的活性。
三、核心应用与科学价值
C6 NBD-L-threo-二氢鞘氨醇的价值远超其化学结构本身,主要体现在其作为“间谍分子”的功能上:
*追踪鞘脂代谢:在细胞内,它能够掺入天然的鞘脂代谢途径。研究人员可以利用其荧光,实时、直观地观察鞘脂(如鞘磷脂、糖鞘脂)的合成、转运及降解过程,揭示这些脂质在细胞生命活动中的作用。
*可视化膜运输:作为细胞膜系统的组成部分,其荧光信号可以用于标记特定的细胞器膜(如高尔基体、内质网),从而研究囊泡运输、膜融合以及细胞内物质交换的动态机制。
*研究脂筏与信号转导:鞘脂是细胞膜上“脂筏”微结构域的重要成分,这些区域与细胞信号转导密切相关。使用此探针有助于阐明脂筏在细胞信号传递中的组织和功能。
Larodan 公司成立于 1963 年,坐落于瑞典斯德哥尔摩的卡罗林斯卡学院(诺贝尔奖委员会所在地)中,主要从事高纯度脂类的开发,制造和销售,产品包括脂肪酸,脂肪酸脂,甘油三酯,蜡脂,磷脂,鞘脂等,也提供稳定的放射性同位素化合物,NMR 消耗品和特种生化试剂以及环境和法医标准等,提供从ug 到 g 级包装,标准纯度高于99%。所有产品都附有分析证书,拥有很高的性价比。
作为Larodan 在中国区总代理,艾美捷科技有限公司将为中国客户提供全面的Larodan 产品以及客户订制化服务,欢迎大家随时联系我们。
微信扫码在线客服