在细胞生物学研究领域,实时观测脂质分子的 intracellular 动态运输过程一直是科学家面临的重要挑战。C12 NBD-神经酰胺(产品编号:39-5051)作为一种创新的荧光标记探针,为研究神经酰胺的代谢途径和细胞内运输机制提供了强有力的技术手段。

作为Larodan在中国的区域总代理,艾美捷科技强烈推荐Larodan热销产品C12 NBD-神经酰胺。产品仅用于科研,不可用于临床诊断。
| 产品名称 | 货号 | 详情 |
C12 NBD-神经酰胺 | 39-5051-1 | 查看 |
分子结构与物理特性
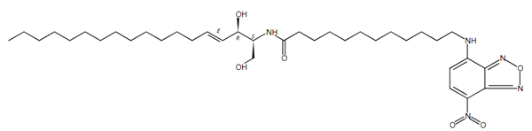
该化合物(CAS号:202850-01-9)具有精确的分子结构,其分子式为C36H61N5O6,分子量为659.9。产品纯度超过98%,以溶液形式在冷冻条件下保存,这一特性使其在使用时更为便捷,避免了重新溶解可能带来的问题。从分子设计角度看,C12 NBD-神经酰胺巧妙地整合了三个关键结构域:神经酰胺的生物学活性核心、十二碳烷基疏水连接臂以及NBD(7-硝基-2,1,3-苯并恶二唑-4-基)荧光报告基团。这种精心的结构设计在最大程度上保留了神经酰胺的天然生物学特性,同时赋予了其优异的荧光检测性能。
神经酰胺的核心生物学功能
神经酰胺作为鞘脂代谢通路中的关键分子,在细胞生命活动中扮演着多重重要角色。它不仅是最基本的鞘脂类分子之一,更是合成更复杂鞘脂(如鞘磷脂和糖鞘脂)的核心前体。在细胞信号转导方面,神经酰胺被确认为重要的第二信使,参与调控细胞分化、增殖、衰老和程序性死亡等多个关键生理过程。特别值得注意的是,神经酰胺在应激反应、炎症应答以及某些药物诱导的细胞凋亡过程中发挥着枢纽作用。
NBD荧光标记的技术优势
NBD荧光基团的引入是该探针最具创新性的技术特点。NBD基团具有理想的光物理特性:其最大激发波长约在465纳米,发射波长约在535纳米,这一光谱范围与大多数荧光检测系统完美兼容。与其他荧光标记相比,NBD基团的分子体积相对较小,对神经酰胺分子天然构象和生物学活性的影响极小。此外,NBD荧光信号强度高、光稳定性好,能够满足长时间实时观测的需求,为研究神经酰胺在活细胞中的动态行为提供了可靠保障。
在细胞生物学研究中的广泛应用
C12 NBD-神经酰胺在多个研究领域展现出独特价值。在高尔基体与内质网研究中,该探针可作为重要的标记物,用于追踪膜脂在分泌途径中的运输过程。在脂筏和膜微结构域研究中,能够直观显示神经酰胺在这些特殊膜结构中的分布和动态。在细胞凋亡研究中,可用于实时监测神经酰胺在凋亡信号通路中的时空变化。此外,在溶酶体功能和自噬过程研究中,该探针也发挥着重要作用。
实验操作的重要特性
该产品以溶液形式供应(产品号39-5051-1为1毫克装,39-5051-39为100微克装),这一特性为实验操作带来了显著便利。研究者无需经历繁琐的溶解过程,即可直接用于细胞标记实验,不仅节省时间,更减少了因溶解不当可能导致的样品损失或降解。产品的严格质量控制(提供详细的分析证书)确保了实验结果的可靠性和可重复性。
技术创新的重要意义
C12 NBD-神经酰胺代表了荧光标记技术在细胞生物学研究中的成功应用。它将神经酰胺的重要生物学功能与荧光检测技术的灵敏性、直观性完美结合,使研究人员能够实时、动态地观察这一重要信号分子在活细胞中的行为。这一技术不仅推动了鞘脂生物学的基础研究进展,更为理解细胞信号转导、膜运输及相关疾病的分子机制提供了新的视角和研究手段。
随着荧光成像技术的不断发展和完善,C12 NBD-神经酰胺在生命科学研究中的应用前景将更加广阔。从基础细胞生物学研究到临床疾病机制探索,这一先进的分子探针将继续为科学家揭示细胞生命的奥秘提供重要技术支持。
Larodan 公司成立于 1963 年,坐落于瑞典斯德哥尔摩的卡罗林斯卡学院(诺贝尔奖委员会所在地)中,主要从事高纯度脂类的开发,制造和销售,产品包括脂肪酸,脂肪酸脂,甘油三酯,蜡脂,磷脂,鞘脂等,也提供稳定的放射性同位素化合物,NMR 消耗品和特种生化试剂以及环境和法医标准等,提供从ug 到 g 级包装,标准纯度高于99%。所有产品都附有分析证书,拥有很高的性价比。
作为Larodan 在中国区总代理,艾美捷科技有限公司将为中国客户提供全面的Larodan 产品以及客户订制化服务,欢迎大家随时联系我们。

微信扫码在线客服