在细胞生物学研究领域,实时观测生物活性分子在活细胞内的动态分布一直是科学家追求的目标。C12 NBD-鞘氨醇磷酸胆碱(产品编号:39-5050)作为一种创新的荧光标记探针,为实现这一目标提供了强有力的技术手段。

作为Larodan在中国的区域总代理,艾美捷科技强烈推荐Larodan热销产品C12 NBD-鞘氨醇磷酸胆碱。产品仅用于科研,不可用于临床诊断。
| 产品名称 | 货号 | 详情 |
C12 NBD-鞘氨醇磷酸胆碱 | 39-5050-39 | 查看 |
分子结构与特性
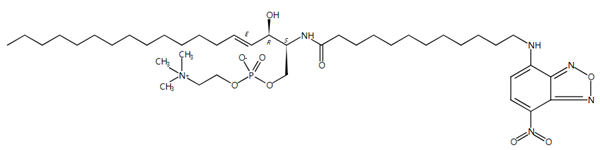
该化合物(CAS号:254117-01-6)分子式为C41H73N6O9P,分子量825.03。其纯度超过98%,以固态形式在冷冻条件下保存,确保了样品的稳定性。从结构设计来看,该分子巧妙地结合了三个关键部分:鞘氨醇磷酸胆碱的生物活性骨架、十二碳烷基连接臂以及NBD荧光基团。这种精心的结构设计使得探针在保持生物活性的同时,具备了优异的荧光检测性能。
生物学功能的重要性
鞘氨醇磷酸胆碱作为生物活性鞘脂的重要成员,在细胞信号转导中发挥着关键作用。它直接参与调节细胞生长、分化和凋亡等基本生命过程,是细胞内外信号沟通的重要媒介。特别值得注意的是,这一分子在炎症反应、免疫调节等病理生理过程中的作用日益受到研究者的重视。
荧光标记的技术优势
NBD(7-硝基-2,1,3-苯并恶二唑)荧光基团的引入是该探针的核心技术创新。NBD基团具有优异的荧光特性,其最大激发波长约在465纳米,发射波长约在535纳米,这一光谱特性使其与常见的荧光检测系统完美兼容。更重要的是,NBD基团体积相对较小,对母体分子的生物活性影响较小,能够真实反映鞘氨醇磷酸胆碱在细胞内的自然行为。
应用前景广阔
这一荧光探针在多个研究领域展现出独特价值。在细胞生物学研究中,可用于实时追踪鞘脂在细胞膜上的分布和转运动态;在信号转导研究中,有助于阐明鞘氨醇磷酸胆碱参与的具体信号通路;在药物研发领域,为筛选调节鞘脂代谢的药物提供了可视化工具。100微克的包装规格(产品号39-5050-39)充分考虑了荧光实验用量精确的特点,为研究者提供了便利。
研究意义深远
C12 NBD-鞘氨醇磷酸胆碱代表了荧光标记技术在生命科学研究中的成功应用。它将鞘脂的生物学功能与荧光检测的灵敏性有机结合,使研究人员能够直观地观察生物活性分子在活细胞中的实时动态。这一工具不仅推动了鞘脂生物学的基础研究,更为相关疾病的机制研究和药物开发提供了新的技术支撑。随着成像技术的不断发展,该探针在生命科学研究中的应用前景将更加广阔。
Larodan 公司成立于 1963 年,坐落于瑞典斯德哥尔摩的卡罗林斯卡学院(诺贝尔奖委员会所在地)中,主要从事高纯度脂类的开发,制造和销售,产品包括脂肪酸,脂肪酸脂,甘油三酯,蜡脂,磷脂,鞘脂等,也提供稳定的放射性同位素化合物,NMR 消耗品和特种生化试剂以及环境和法医标准等,提供从ug 到 g 级包装,标准纯度高于99%。所有产品都附有分析证书,拥有很高的性价比。
作为Larodan 在中国区总代理,艾美捷科技有限公司将为中国客户提供全面的Larodan 产品以及客户订制化服务,欢迎大家随时联系我们。
微信扫码在线客服