在生命科学研究的精细舞台上,分子探针如同照亮微观世界的明灯,使得研究者能够追踪、解析复杂的生物化学过程。其中,N-棕榈酰基(D31)D-鞘氨醇便是一种设计精巧、功能强大的生化工具。这款产品,编号71-5616,CAS号为852043-41-5,不仅以其高纯度(>98%)和稳定的固态形式(或溶液形式提供)服务于科研,更因其独特的氘代标记特性,在脂质代谢、细胞信号转导及药物研发等领域展现出不可替代的价值。

作为Larodan在中国的区域总代理,艾美捷科技强烈推荐Larodan热销产品N-棕榈酰基(D31)D-鞘氨醇。产品仅用于科研,不可用于临床诊断。
| 产品名称 | 货号 | 详情 |
| N-棕榈酰基(D31)D-鞘氨醇 | 71-5616-4 | 查看 |
一、分子结构与氘代标记的精妙设计
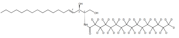
N-棕榈酰基(D31)D-鞘氨醇,从本质上讲,是一种鞘脂类化合物的稳定同位素标记形式。其分子式为C34H36D31NO3,分子量约为569.09。其核心结构由D-鞘氨醇与一个经过全氘代修饰的棕榈酰基(十六烷酰基)通过酰胺键连接而成。
“氘代”是此分子的精髓所在。在它的棕榈酰基链上,多达31个氢原子(H)被其稳定同位素氘(D,或称?H)所取代。这种替换,从化学性质上看,并未显著改变分子的基本反应活性和生物功能,因为C-D键与C-H键在化学反应性上仅有微小差异。然而,正是这31个氘原子,赋予了该分子在质谱等分析仪器中“脱颖而出”的能力。其巨大的质量数差异(每个D比H重约1个原子质量单位)使得标记分子与未标记的天然分子在质谱图中清晰可辨,如同给分子贴上了独一无二的“身份证”。
二、主要应用领域:追踪生命活动的“示踪剂”
1.脂质代谢与动力学研究:鞘脂是真核细胞膜的重要组成部分,并参与形成脂筏等膜微域,在细胞识别、信号转导中扮演关键角色。利用N-棕榈酰基(D31)D-鞘氨醇作为示踪剂,研究人员可以将其引入细胞或生物模型中。通过质谱技术精准追踪其摄取、转运、代谢转化(如转化为更复杂的鞘磷脂、神经酰胺等)及降解的全过程,从而定量揭示鞘脂代谢的通路、速率及其调控机制。
2.细胞信号通路解析:鞘氨醇及其衍生物,如1-磷酸鞘氨醇,是重要的信号分子,调控着细胞的增殖、凋亡、迁移等多种命运。使用氘代标记的N-棕榈酰基D-鞘氨醇,可以帮助科学家精确区分内源性产生的信号分子与外源性添加或特定通路激活产生的分子,从而更清晰地描绘出复杂的信号网络,探究其在生理及病理条件(如癌症、神经退行性疾病、炎症)下的作用。
3.药物研发与药代动力学:在针对鞘脂相关通路的新药研发中,此氘代化合物可作为理想的内标物。在生物样品分析中,加入已知量的氘代标准品,可以极大提高对目标鞘脂分子进行定性和定量分析的准确度与精密度,有效校正样品前处理过程中的损失和仪器分析的波动。此外,它本身也可用于研究影响鞘脂代谢的药物的作用机制和效果评估。
三、产品特性与使用规范
为确保研究数据的可靠性,该产品提供了严格的质量控制,纯度超过98%,并附有详细的质检报告。鉴于其生物活性和化学稳定性,产品建议在冷冻条件下保存,以维持长期的有效性。它通常以纯品或特定溶剂(如乙醇)的溶液形式提供,方便研究者根据不同实验需求(如细胞培养、体外生化分析)进行精确取用和稀释。提供的不同规格(如5mg和50mg包装)也满足了从初步探索到大规模研究的不同阶段需求。
结语
N-棕榈酰基(D31)D-鞘氨醇,凭借其精确的氘代标记和高品质的化学特性,已经成为连接化学合成与生命科学前沿研究的重要桥梁。它不仅是一个简单的化学试剂,更是解码细胞膜生物学、信号转导奥秘以及推动相关疾病治疗策略发展的强大工具。随着分析技术的不断进步和对鞘脂功能理解的深化,这类精密的分子探针必将在未来的生命科学探索中持续发光发热,助力科学家揭示更多生命的微观规律。
作为Larodan 在中国区总代理,艾美捷科技有限公司将为中国客户提供全面的Larodan 产品以及客户订制化服务,欢迎大家随时联系我们。
微信扫码在线客服