在糖脂生物学研究领域,硫酸苷脂作为细胞膜上重要的功能分子,其结构与活性的关系一直是科研探索的重点。C16 3'-磺酸半乳糖神经酰胺 (d18:1/16:0)(产品编号:56-7016)作为一种结构明确的硫酸苷脂,在研究细胞识别、信号转导等生物过程中发挥着独特作用。

作为Larodan在中国的区域总代理,艾美捷科技强烈推荐Larodan热销产品C16 3'-磺酸半乳糖神经酰胺。产品仅用于科研,不可用于临床诊断。
| 产品名称 | 货号 | 详情 |
| C16 3'-磺酸半乳糖神经酰胺 | 56-7016-1 | 查看 |
一、分子结构特征
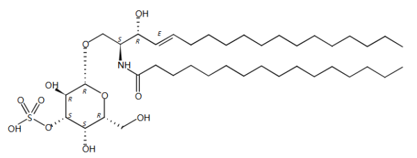
该化合物(CAS: 89771-78-8)具有明确的化学结构,其分子式为 C40H77NO11S,分子量为 780.11。从脂质编号 d18:1/16:0 可以看出其结构特点:
1. 保守的骨架结构:d18:1 代表含有一个双键的18碳鞘氨醇骨架,这是维持分子基本构象的基础。
2. 优化的脂肪酸链:/16:0 表明连接的是16碳饱和脂肪酸(棕榈酸)。这一中等链长的设计在保持分子膜结合能力的同时,较之更长的脂肪酸链,在实验操作中展现出更好的可控性。
3. 特征性功能基团:分子保留了3'-O-硫酸化半乳糖这一关键极性头基。该磺酸基团是其与特定蛋白质受体相互作用的结构基础,也是其发挥生物学功能的核心区域。
二、生物学功能意义
3'-磺酸半乳糖神经酰胺在多种生理过程中具有重要作用:
免疫调节功能:这类硫酸苷脂可作为某些免疫细胞表面受体的配体,参与免疫信号的识别与传递。其磺酸基团与特定受体的相互作用,是启动特异性免疫应答的重要环节。
神经系统作用:在神经组织中,该类分子不仅参与髓鞘结构的形成,还可能通过调节相关蛋白的活性,影响神经系统的正常功能。
分子识别机制:某些病原体可能利用宿主细胞表面的硫酸苷脂作为受体,C16 3'-磺酸半乳糖神经酰胺为研究这类分子识别机制提供了可靠的实验工具。
三、质量控制与研究应用
本产品提供>98% 的高纯度标准,并配备详细的分析证书,确保实验数据的准确性和可重复性。正确的储存条件(冷冻)对维持分子稳定性至关重要。
在实际研究中,该化合物的应用价值主要体现在:
膜生物学研究:用于构建含特定硫酸苷脂的模型膜系统,研究其对膜性质及膜蛋白功能的影响。
分子相互作用研究:作为标准配体,用于研究其与特定结合蛋白的亲和力与特异性。
细胞功能研究:通过外源性添加,探索其对细胞活化、分化等过程的调节作用。
分析标准品:在脂质组学分析中作为定量标准品,用于检测生物样本中内源性硫酸苷脂的含量变化。
结语
C16 3'-磺酸半乳糖神经酰胺 (d18:1/16:0) 凭借其明确的结构、高纯度和良好的实验适用性,成为硫酸苷脂研究领域的重要工具。它不仅有助于揭示硫酸苷脂在生理和病理过程中的具体作用机制,更为开发相关的诊断方法和治疗策略提供了可靠的研究基础。随着糖生物学和细胞信号转导研究的深入发展,这一结构明确的分子探针将继续在基础研究和应用研究中发挥重要作用。
作为Larodan 在中国区总代理,艾美捷科技有限公司将为中国客户提供全面的Larodan 产品以及客户订制化服务,欢迎大家随时联系我们。

微信扫码在线客服