在糖生物学与免疫学研究的交叉领域,硫酸苷脂作为一类重要的糖鞘脂,因其在细胞识别、信号转导及免疫调节中的关键作用而备受关注。其中,C23'-磺酸半乳糖神经酰胺(d18:1/2:0)(产品编号:56-7002)以其精简而功能明确的化学结构,成为了探索硫酸苷脂生物学功能的理想分子工具。

作为Larodan在中国的区域总代理,艾美捷科技强烈推荐Larodan热销产品C23'-磺酸半乳糖神经酰胺(d18:1/2:0)。产品仅用于科研,不可用于临床诊断。
| 产品名称 | 货号 | 详情 |
| C23'-磺酸半乳糖神经酰胺(d18:1/2:0) | 56-7002-1 | 查看 |
一、分子结构解析:精简设计下的关键功能基团
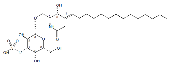
该化合物的结构(CAS:252846-08-5)具有高度的特征性,其分子式为C26H49NO11S,分子量为583.73。从脂质编号d18:1/2:0可以解读其核心构成:
1.鞘氨醇骨架:d18:1代表一个18个碳原子、含有一个双键的鞘氨醇骨架(鞘氨醇,Sphingosine),这是所有神经酰胺共有的基本结构单元,负责将分子锚定在细胞膜上。
2.极简脂肪酸链:/2:0表明其连接的脂肪酸为仅有2个碳原子的短链乙酸。这与自然界中常见的包含长链脂肪酸(如C24:0或C24:1)的硫酸苷脂形成鲜明对比。这种短链C2脂肪酸的设计,使得该分子具有更高的水溶性和易于处理的物理特性(固体),同时极大地便利了其在体外研究中的应用,例如更容易掺入载体或培养体系。
3.特征性糖基与硫酸化修饰:在其鞘氨醇骨架上,通过β-糖苷键连接了一个半乳糖分子,并且在该半乳糖的第3位碳原子上连接了一个磺酸基团(-SO?H)。这个3'-O-硫酸化修饰是其被特定受体(如某些C型凝集素受体)识别并发挥生物学功能的决定性结构域。
这种精简而功能集中的结构,使其成为研究硫酸半乳糖神经酰胺与其结合蛋白相互作用的“标准化”工具,有效避免了长链脂肪酸可能带来的疏水性干扰和非特异性结合。
二、生物学意义:免疫与神经系统的潜在信使
硫酸苷脂广泛分布于生物体内,特别是在神经组织和免疫细胞中含量丰富,它们不仅是细胞膜的结构组分,更是活跃的信号分子。
*蛋白结合的特定配体:3'-磺酸半乳糖神经酰胺可作为一些细胞表面受体(如髓系细胞表面的Siglec家族蛋白或其它C型凝集素)的配体。这种特异性相互作用在细胞粘附、病原体识别和免疫调节信号的启动中扮演着关键角色。
*自身免疫病的关联者:有研究提示,特定的硫酸苷脂可能作为自身抗原,参与某些自身免疫性神经疾病的发病过程,例如在吉兰-巴雷综合征中,针对此类脂质的自身抗体可能攻击周围神经。
*神经功能的支持者:在神经系统中,硫酸苷脂是髓鞘的重要组成部分,对维持髓鞘的结构完整性和功能至关重要,可能参与神经元与胶质细胞之间的通讯。
三、研究应用与质量控制
本产品提供高纯度(>98%)的标准,并附有分析证书,确保了研究数据的准确性与可重复性。正确的储存条件(冷冻)对于维持其长期稳定性至关重要。
在科学研究中,C23'-磺酸半乳糖神经酰胺可在多个层面发挥作用:
*分子互作研究:作为标准品或固定配体,用于研究其与特定受体蛋白(如抗体、凝集素)的结合亲和力与特异性,例如通过表面等离子共振或ELISA等方法。
*细胞生物学研究:用于探究该分子对免疫细胞(如T细胞、树突状细胞)活化、增殖或分化的影响,揭示其在免疫应答中的调节功能。
*脂质组学分析:作为精确的标准品,用于质谱等分析技术中,对生物样本(如血清、组织提取物)中的内源性硫酸苷脂进行定性与定量分析。
结语
C23'-磺酸半乳糖神经酰胺(d18:1/2:0)凭借其结构明确、纯度极高以及水溶性改善的特点,为糖脂生物学研究提供了一个强大而可靠的工具。它不仅有助于在分子水平上解密硫酸苷脂与蛋白受体的精细互作机制,更为深入理解其在自身免疫、神经发育及感染免疫等生理病理过程中的功能开辟了道路。随着糖生物学和免疫学的持续发展,这一精心设计的分子探针必将为相关领域的基础研究与药物开发提供关键的技术支撑。
作为Larodan 在中国区总代理,艾美捷科技有限公司将为中国客户提供全面的Larodan 产品以及客户订制化服务,欢迎大家随时联系我们。

微信扫码在线客服