在生命科学的微观世界中,鞘磷脂(Sphingomyelin)作为细胞膜的重要组成部分,扮演着不可或缺的角色。其中,C16鞘磷脂(d18:1/16:0)作为一种结构明确的鞘磷脂亚型,因其独特的分子特性和广泛的生物学功能,成为生物化学和医学研究的热点。本文将从其化学结构、生物学作用、研究应用及未来前景等方面,对这一分子进行全面介绍。

作为Larodan在中国的区域总代理,艾美捷科技强烈推荐Larodan热销产品C16鞘磷脂(d18:1/16:0)。产品仅用于科研,不可用于临床诊断。
| 产品名称 | 货号 | 详情 |
| C16鞘磷脂(d18:1/16:0) | 56-4016-4 | 查看 |
化学结构与特性
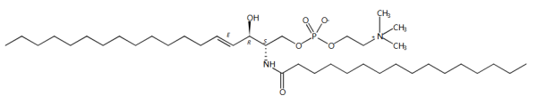
C16鞘磷脂的分子式为C39H79N2O6P,分子量为703.03,其化学名称为“3,5-二氧杂-8-氮杂-4-磷杂二十四碳-1-铵内盐”。从脂质编号d18:1/16:0可以看出,它由鞘氨醇碱基(d18:1,即鞘氨醇含18个碳原子和一个双键)与十六烷酸(16:0,即棕榈酸)通过酰胺键连接而成。这种结构赋予其两亲性:极性头部基团包含磷酸胆碱,易于与水相互作用;非极性尾部则由长链烃基构成,疏水性强。此外,其立体化学构型(如7S构型)和双键位置(如2E构型)进一步影响了分子的空间排列和功能。
高纯度(>98%)的C16鞘磷脂在常温下为固体,需冷冻保存以确保稳定性。其复杂的结构可通过SMILES字符串和InChI标识符精确描述,例如SMILES字符串揭示了从鞘氨醇到脂肪酸的链式连接方式,而InChIKey则为数据库检索和分子识别提供了唯一标识。这些化学特性奠定了其在生物膜中的结构基础,使其能够与其他脂质和蛋白质协同作用。
生物学功能与重要性
鞘磷脂是细胞膜脂质双分子层的关键组成,尤其在细胞膜微结构域(如脂筏)中富集。C16鞘磷脂通过其饱和脂肪酸链(16:0)与不饱和鞘氨醇碱基(d18:1)的组合,增强了膜的稳定性和流动性。在细胞信号转导中,它作为第二信使的前体,参与调控细胞生长、分化和凋亡。例如,在神经组织中,鞘磷脂是髓鞘的主要成分,保障神经冲动的快速传导;在细胞应激响应中,其代谢产物如神经酰胺和鞘氨醇,可介导炎症反应和程序性死亡。
研究表明,C16鞘磷脂的平衡对维持健康至关重要。其代谢异常与多种疾病相关:在动脉粥样硬化中,过量的鞘磷脂积累可促进低密度脂蛋白氧化和泡沫细胞形成;在神经退行性疾病如阿尔茨海默病中,鞘磷脂水平变化可能影响β-淀粉样蛋白的沉积;此外,它在癌症细胞耐药性和胰岛素抵抗中也扮演着角色。因此,对C16鞘磷脂的深入研究有助于揭示这些疾病的分子机制。
研究与应用前景
在生物医学领域,高纯度C16鞘磷脂(如产品号56-4016)被广泛用作标准品。在脂组学研究中,它帮助量化细胞或组织中的鞘磷脂水平,从而评估代谢状态;在药物开发中,它用于模拟细胞膜环境,测试药物渗透性和毒性。例如,通过体外实验,科学家可以探讨C16鞘磷脂如何影响膜蛋白(如受体和通道)的功能,进而设计靶向疗法。
未来,随着质谱技术和分子动力学模拟的进步,对C16鞘磷脂的研究将更趋精细化。它可能成为疾病生物标志物或药物靶点,如在个性化医疗中,通过监测其水平来早期诊断代谢综合征。同时,在生物技术领域,鞘磷脂类似物或纳米载体可能用于药物递送系统,提升治疗效果。
C16鞘磷脂(d18:1/16:0)虽是一个微观分子,却在细胞构建和生命活动中发挥着宏观影响。从化学结构的精确性到生物功能的多样性,它体现了生命分子的复杂与精妙。随着科学技术的不断发展,我们对它的理解将日益深化,有望为人类健康带来新的突破。正如一粒沙中见世界,C16鞘磷脂的研究将继续揭示生命奥秘,推动医学和生物学的进步。
作为Larodan 在中国区总代理,艾美捷科技有限公司将为中国客户提供全面的Larodan 产品以及客户订制化服务,欢迎大家随时联系我们。
微信扫码在线客服