在细胞生物学的精密调控网络中,鞘脂类分子构成了一个复杂而精密的信号系统。其中,神经酰胺作为鞘脂代谢通路的核心分子,通过其结构多样性实现功能的特异性。在众多神经酰胺变体中,C18:1-二氢神经酰胺(产品编号56-3138)因其独特的结构特征和重要的生物学功能而备受关注。本文将从其化学结构、物理特性出发,深入探讨这一分子在细胞信号传导和生命过程中的独特价值。

作为Larodan在中国的区域总代理,艾美捷科技强烈推荐Larodan热销产品C18:1-二氢神经酰胺。产品仅用于科研,不可用于临床诊断。
| 产品名称 | 货号 | 详情 |
| C18:1-二氢神经酰胺 | 56-3138-1 | 查看 |
一、精确的化学结构与特征解析
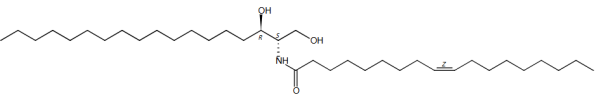
C18:1-二氢神经酰胺拥有明确的化学身份标识,其CAS号为34227-83-3。系统命名“9-Octadecenamide,N-[(1S,2R)-2-羟基-1-(羟甲基)十七烷基]-,(9Z)-”精确揭示了其分子结构的两个关键特征:
酰基链的特殊性:该分子的酰基部分为18个碳原子的脂肪酸链,其中包含一个顺式双键(9Z),这使其区别于完全饱和的神经酰胺变体。这个顺式双键的存在显著影响了分子的空间构型和物理化学性质,使其在膜环境中具有更好的流动性和适应性。
立体构型的精确性:分子的鞘氨醇骨架保持着(1S,2R)的D-赤式立体构型,这是其与生物体内特定受体和酶系发生特异性相互作用的结构基础。同时,“二氢”结构表明其鞘氨醇骨架是完全饱和的,这一特征赋予了分子更高的代谢稳定性。
该分子的化学式为C36H71NO3,分子量为565.96g/mol。从结构上看,其SMILES表达式(O=C(NC(CO)C(O)CCCCCCCCCCCCCCC)CCCCCCCC=CCCCCCCCC)清晰地展示了分子的拓扑结构,而立体异构SMILES则进一步明确了其空间构型。值得注意的是,InChIKey=MJQIARGPQMNBGT-WWUCIAQXSA-N为其提供了全球唯一的数字身份标识,确保了在研究中的精确识别和数据共享。
二、产品规格与质量控制
作为科研级试剂(产品号:56-3138),该化合物遵循严格的质量标准。其纯度经高效液相色谱等分析方法验证,高于98%,这一指标对于确保实验结果的准确性和可重复性至关重要。高纯度能够有效排除杂质对细胞实验的干扰,特别是在研究特异性信号通路时显得尤为重要。
该产品以固态纯净物形式提供,储存条件要求冷冻保存。这一要求基于神经酰胺类化合物的化学特性:低温能够有效防止分子的氧化降解和水解反应,确保其在储存期间维持化学稳定性和生物活性。研究人员在使用时需要注意,应首先使用合适的有机溶剂(如乙醇或DMSO)配制储备液,再根据实验需求进一步稀释至工作浓度。
三、生物学功能与信号调控机制
C18:1-二氢神经酰胺在细胞生命活动中扮演着多重角色,其功能主要通过以下几个层面实现:
膜生物学特性的调节者
该分子在细胞膜中表现出独特的性质。由于其酰基链中含有的顺式双键,使得分子在膜双层中具有更好的流动性和适应性。这种结构特征使其能够更有效地参与脂筏的形成和维持,进而影响膜蛋白的活性和分布。研究表明,C18:1-二氢神经酰胺能够通过调节膜的物理性质,影响细胞的物质运输、信号转导和细胞间识别等过程。
细胞信号通路的调控枢纽
在鞘脂代谢网络中,C18:1-二氢神经酰胺处于关键位置。它既可作为信号分子直接参与细胞调控,又可作为代谢前体转化为其他活性鞘脂。与完全饱和的神经酰胺相比,其特有的不饱和结构可能赋予其独特的信号特性,在细胞分化、增殖和凋亡等过程中发挥特异性调节作用。
代谢稳定性的优势
由于其二氢结构缺乏不饱和双键,使其对氧化降解具有更强的抵抗能力。这种代谢稳定性使其在细胞内的半衰期相对较长,能够维持更持久的信号效应,为研究其生物学功能提供了便利。
四、科研应用与前沿展望
C18:1-二氢神经酰胺在多个研究领域展现出重要价值:
膜生物物理研究的理想模型
该分子是研究不饱和鞘脂在生物膜中行为的优秀模型。研究人员可利用其明确的结构特征,探讨不饱和神经酰胺对膜流动性、相变行为和微观结构的影响。这些研究有助于揭示鞘脂在膜功能调控中的分子机制。
信号转导研究的特异性工具
与常见的饱和神经酰胺相比,C18:1-二氢神经酰胺可能通过不同的机制参与细胞信号调控。研究人员可利用这一工具,深入探索不饱和神经酰胺在特定生理和病理条件下的信号通路,揭示其在细胞命运决定中的独特作用。
疾病机制研究的新视角
该分子在多种生理过程中发挥重要作用,包括皮肤屏障功能、神经系统的发育和免疫调节等。通过研究C18:1-二氢神经酰胺的代谢和功能异常,可为理解相关疾病的发病机制提供新的视角,并为开发新型治疗策略奠定基础。
药物研发的潜在靶点
由于其独特的结构和功能特征,C18:1-二氢神经酰胺代谢通路可能成为药物研发的新靶点。研究人员可利用这一工具分子,筛选和评估针对鞘脂代谢通路的调节剂,为代谢性疾病、炎症性疾病和癌症的治疗提供新的候选药物。
C18:1-二氢神经酰胺作为一种结构明确、功能独特的鞘脂分子,在现代生命科学研究中具有不可替代的价值。其特有的不饱和结构和确定的立体化学特征,使其成为探索鞘脂生物学功能的精密工具。从基础的膜生物物理研究到临床的疾病机制探索,这一分子都为科学家提供了独特的研究视角。随着研究技术的不断进步和对鞘脂信号网络认识的深化,C18:1-二氢神经酰胺必将在未来的生命科学研究中发挥更加重要的作用,为揭示生命的奥秘和推动医学进步贡献独特价值。
作为Larodan 在中国区总代理,艾美捷科技有限公司将为中国客户提供全面的Larodan 产品以及客户订制化服务,欢迎大家随时联系我们。
微信扫码在线客服