在生命科学的微观世界里,脂质分子扮演着远超能量储存与结构支撑的角色,其中鞘脂类化合物更是以其复杂的结构和多样的功能备受关注。N-硬脂酰植物鞘氨醇便是这类分子中的一个典型代表,其严谨的化学身份背后,蕴含着重要的生物学意义。

作为Larodan在中国的区域总代理,艾美捷科技强烈推荐Larodan热销产品N-硬脂酰植物鞘氨醇。产品仅用于科研,不可用于临床诊断。
| 产品名称 | 货号 | 详情 |
| N-硬脂酰植物鞘氨醇 | 56-1164-4 | 查看 |
化学身份与结构特征
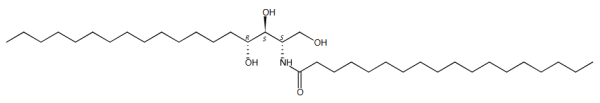
N-硬脂酰植物鞘氨醇,产品编号56-1164,CAS号为34354-88-6,是一个具有明确分子式(C36H73NO4)和分子量(583.97 g/mol)的有机化合物。从它的系统命名——Octadecanamide, N-[(1S,2S,3R)-2,3-dihydroxy-1-(hydroxymethyl)heptadecyl]-中,我们可以解读出其精细的化学结构。
这个分子的核心结构是植物鞘氨醇,一种具有三个羟基(-OH)和一个氨基(-NH2)的长链碱基。其独特的`[1S,2S,3R]`立体构型,如同分子的“指纹”,决定了其特定的三维空间排布和生物学活性。植物鞘氨醇的氨基通过酰胺键与一个硬脂酰基(一个完全饱和的十八碳脂肪酸链)相连,从而构成了“N-硬脂酰植物鞘氨醇”这一完整的分子。
我们可以通过多种结构标识符来精确描绘它。SMILES字符串(O=C(NC(CO)C(O)C(O)CCCCCCCCCCCCCC)CCCCCCCCCCCCCCCCC)和等构SMILES清晰地展示了原子的连接顺序。而国际化合物标识(InChI)及其密钥(InChIKey=IEZRNEGTKRQRFV-LFBNJJMOSA-N)则提供了全球唯一的、可用于数据库检索的标准识别码。这些信息共同精确地定义了这一个分子,确保了科研交流的准确性。
物理性质与产品信息
作为一款标准品或研究试剂,该产品的纯度通常高于98%,确保了实验结果的可靠性。在常温下,它呈现为固态。为了保持其长期稳定性,避免降解,建议在冷冻条件下储存。产品通常以纯净物(Neat)的形式提供,例如常见的5毫克规格(产品号56-1164-4),并附有详细的分析证书,为质量控制提供依据。
生物合成与功能初探
尽管我们在此讨论的是外源性试剂,但理解其生物学背景至关重要。在细胞内,鞘氨醇碱基(如二氢鞘氨醇)会与长链脂肪酰辅酶A在丝氨酸棕榈酰转移酶等酶的催化下进行结合,这一过程是鞘脂类合成的核心步骤。N-硬脂酰植物鞘氨醇可以看作是这一合成路径中的一个特定产物或类似物。
这类分子,尤其是含有植物鞘氨醇这一特定骨架的鞘脂,是构成皮肤角质层中神经酰胺的重要前体或组分。神经酰胺对于维持皮肤屏障的完整性和保水功能起着至关重要的作用。此外,鞘脂及其衍生物(如鞘氨醇-1-磷酸)作为重要的信号分子,广泛参与到细胞增殖、分化、凋亡以及炎症反应等多种生命过程的调控中。
应用与展望
鉴于其结构特性,N-硬脂酰植物鞘氨醇在科学研究中具有多重价值。首先,它可作为标准品,用于液相色谱-质谱等分析技术中,对生物样本中的内源性鞘脂进行定性和定量分析。其次,在细胞生物学研究中,它被用作外源性补充剂,以探究鞘脂代谢途径、细胞信号转导以及其在皮肤生理和病理过程中的具体作用机制。在化妆品和皮肤药理学领域,对此类分子功能的研究也有助于开发改善皮肤屏障功能的新型活性成分。
综上所述,N-硬脂酰植物鞘氨醇远不止是一串复杂的化学符号和数字。它是一个结构明确、具有特定立体化学的鞘脂分子,是连接基础化学结构与复杂生命活动的一座微观桥梁。通过对它的深入研究,科学家们得以更清晰地揭示鞘脂世界的奥秘,进而为生命科学基础研究和应用开发提供宝贵的见解与工具。
作为Larodan 在中国区总代理,艾美捷科技有限公司将为中国客户提供全面的Larodan 产品以及客户订制化服务,欢迎大家随时联系我们。

微信扫码在线客服