在生命科学和化学研究领域,特定且高纯度的化学分子是推动科学探索的基石。C10-神经酰胺(产品编号:56-1138)正是这样一种具有明确结构和高度纯度的生物活性脂质,其在细胞生物学、信号转导等研究中扮演着重要角色。

作为Larodan在中国的区域总代理,艾美捷科技强烈推荐Larodan热销产品C10-神经酰胺。产品仅用于科研,不可用于临床诊断。
| 产品名称 | 货号 | 详情 |
| C10-神经酰胺 | 56-1138-5 | 查看 |
一、分子标识与结构特性
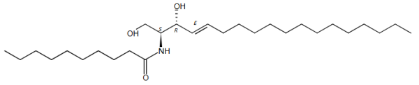
C10-神经酰胺,其化学文摘社登记号(CAS号)为111122-57-7,确保了其在全球化学物质数据库中的唯一性和可追溯性。它拥有一系列系统性的化学名称,最为人所知的是“N-[(1S,2R,3E)-2-羟基-1-(羟甲基)-3-十七碳烯-1-基]癸酰胺”。这些名称精确地描述了其立体化学结构,指明了分子中手性中心(1S,2R)的构型以及碳碳双键(3E)的立体构型,这对于其生物活性至关重要。
该分子的化学式为C28H55NO3,分子量约为453.74道尔顿。其结构可以形象地理解为由两部分组成:一个源自鞘氨醇碱基的极性头部和一个十碳长度的脂肪酰基链(癸酰基)。这种特定的结构——较短的C10脂肪链,与体内天然存在的、通常带有更长链脂肪酸的神经酰胺形成了对比,使得C10-神经酰胺在研究和应用中展现出独特的物理化学性质和生物活性。
研究人员还可以通过多种线性表示法来精确描述其结构,例如SMILES表示法(O=C(NC(CO)C(O)C=CCCCCCCCCCCCCC)CCCCCCCCC)和等构SMILES,它们以字符串的形式编码了原子的连接顺序与空间关系。此外,国际化学标识符InChI及其密钥(InChIKey=FDWVAQFAMZLCAX-NBNLIBPQSA-N)提供了另一种标准化的、机器可读的分子描述方式,便于在数字数据库中实现高效的检索与比对。
二、产品信息与应用前景
作为一款研究级化学品,本产品最显著的特征之一是其卓越的纯度——通过认证分析证书确认高于99%。这种高纯度对于科学研究至关重要,因为它能最大限度地减少杂质干扰,确保实验结果的准确性和可重复性,尤其在涉及细胞信号通路、凋亡研究等精细的生物实验中。
在物理特性上,该产品在常温下为固态,并以纯净物形式提供。为确保其化学稳定性和生物活性在长期储存中得以保持,建议存放于冷冻环境中。目前,该产品提供10毫克的标准包装规格(货号:56-1138-5),适合大多数实验室的研究需求。
三、研究价值与总结
神经酰胺作为细胞膜鞘磷脂的核心组成部分,远不止是结构元件,它们更是重要的第二信使,参与调控细胞的生长、分化、衰老乃至程序性死亡等多种关键生理病理过程。C10-神经酰胺,凭借其较短的酰基链,可能表现出与长链天然神经酰胺不同的膜渗透性和特异性生物效应,这使得它成为一个非常有价值的工具分子。
无论是在基础科研中用于探索神经酰胺介导的信号传导机制,还是在应用研究中作为潜在的参照标准或效应物,这种高纯度、结构明确的C10-神经酰胺都为科学家提供了可靠且精确的研究材料。它犹如一把精密的钥匙,帮助研究者解锁细胞生命活动中的更多奥秘,体现了化学纯度与生物功能在科学研究中的完美结合。
作为Larodan 在中国区总代理,艾美捷科技有限公司将为中国客户提供全面的Larodan 产品以及客户订制化服务,欢迎大家随时联系我们。
微信扫码在线客服