在生物化学与细胞生物学研究中,神经酰胺作为细胞膜鞘脂类的核心结构单元,不仅参与维持细胞膜的物理屏障功能,更在细胞信号转导、凋亡调控及炎症反应等关键生理过程中发挥重要作用。其中,C14-神经酰胺(产品编号:56-1121)作为一种结构明确、高纯度的合成神经酰胺,因其特定的碳链长度与规整的立体构型,成为研究鞘脂代谢途径及脂介导生物过程的理想工具分子。

作为Larodan在中国的区域总代理,艾美捷科技强烈推荐Larodan热销产品C14-神经酰胺。产品仅用于科研,不可用于临床诊断。
| 产品名称 | 货号 | 详情 |
| C14-神经酰胺 | 56-1121-4 | 查看 |
一、化学特性与结构解析
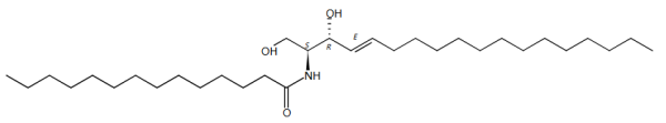
C14-神经酰胺的化学系统命名为“N-[(1S,2R,3E)-2-羟基-1-(羟甲基)-3-十七碳烯-1-基]十四烷酰胺”,其CAS号为34227-72-0。从分子式C32H63NO3可知,该化合物由32个碳原子、63个氢原子、1个氮原子和3个氧原子构成,分子量为509.85 g/mol。其结构包含三个关键功能区:一是长度为14个碳的饱和脂肪酸链(十四烷酰基),通过酰胺键与鞘氨醇骨架连接;二是鞘氨醇部分含有一个反式双键(E构型,位于第三位碳),赋予分子一定的刚性;三是两个游离羟基(分别位于鞘氨醇的1位和2位碳),这些极性基团的存在使分子具有一定的亲水性,使其能够嵌入脂双层并参与氢键网络的形成。
其立体构型进一步决定了生物活性:鞘氨醇部分的1位碳为S构型,2位碳为R构型,这种特定的手性中心对神经酰胺与靶蛋白(如神经酰胺激活的蛋白磷酸酶或膜受体)的相互作用至关重要。高分辨质谱及核磁共振数据可通过SMILES表示法(O=C(NC(CO)C(O)C=CCCCCCCCCCCCCC)CCCCCCCCCCCCC)及InChIKey(ZKRPGPZHULJLKJ-JHRQRACZSA-N)唯一标识,确保实验中所用化合物的准确性与可追溯性。
二、物理性质与质量控制
在常温下,C14-神经酰胺为白色至类白色固体,需在冷冻条件下(通常–20°C)保存以防止降解。产品的纯度通过高效液相色谱验证,达到98%以上,并附有分析证书,为实验结果的可靠性与重复性提供保障。目前该产品以纯物质形式提供,常见规格包括5 mg与10 mg两种包装,便于不同规模的研究使用。
三、功能与应用前景
C14-神经酰胺的碳链长度介于短链(如C2-C8)与长链(如C16-C24)神经酰胺之间,使其在膜渗透性与生物活性之间达到平衡。研究中,它常被用于:
1. 细胞凋亡机制研究:外源性添加C14-神经酰胺可模拟内源性神经酰胺的积累,激活 caspase 蛋白酶家族,诱导线粒体膜电位崩溃,进而推动程序性细胞死亡。
2. 皮肤屏障功能模拟:在化妆品与 dermatology 研究中,C14-神经酰胺因其与人体皮脂中天然存在的神经酰胺结构相似,被用于修复脂质双层、改善角质层含水量的实验模型。
3. 信号转导通路探索:作为第二信使,它可通过调节蛋白激酶、磷酸酶等下游效应物,影响细胞增殖、分化及应激响应。
C14-神经酰胺(56-1121)作为结构明确、纯度高的生物活性分子,不仅为鞘脂生物学基础研究提供了重要工具,也在疾病机制探索与转化应用中展现出潜力。未来,通过化学修饰或纳米载体优化其递送效率,或许能进一步拓展其在代谢疾病、肿瘤治疗及皮肤健康领域的应用价值。
作为Larodan 在中国区总代理,艾美捷科技有限公司将为中国客户提供全面的Larodan 产品以及客户订制化服务,欢迎大家随时联系我们。
微信扫码在线客服