在鞘脂类家族的众多成员中,C16-神经酰胺(产品编号56-1088)占据着一个独特而基础的地位。它不仅是细胞膜的关键结构性组分,更是调控多种生命活动的内源性信号分子。与它的短链类似物(如C2-神经酰胺)作为实验工具不同,C16-神经酰胺是生物体内天然含量最为丰富的神经酰胺物种之一,其存在与功能直接关系到细胞的稳态与命运。

作为Larodan在中国的区域总代理,艾美捷科技强烈推荐Larodan热销产品C16-神经酰胺。产品仅用于科研,不可用于临床诊断。
| 产品名称 | 货号 | 详情 |
| C16-神经酰胺 | 56-1088-5 | 查看 |
精准的化学构象
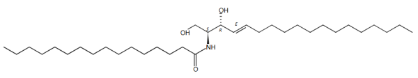
C16-神经酰胺的化学名称被精确定义为N-[(1S,2R,3E)-2-羟基-1-(羟甲基)-3-十七碳烯-1-基]-十六酰胺。这个系统名称完整描绘了其分子全貌:它由一个D-赤式-鞘氨醇(保留其固有的2S,3R立体构型和4E-反式双键)与一个十六烷酸(即棕榈酸)通过酰胺键连接而成。其分子式为C34H67NO3,分子量高达537.9道尔顿,这反映了其长链脂肪酸赋予的显著疏水特性。
它的同义词,如D-赤式-N-十六酰基鞘氨烯、N-棕榈酰基-D-鞘氨醇,都直指其作为鞘氨醇与棕榈酸结合的本质。这种特定的化学结构可以通过CAS登记号24696-26-2进行唯一标识,其复杂的空间信息也被编码在SMILES、等位SMILES、InChI(InChI=1S/C34H67NO3/...)及InChIKey(YDNKGFDKKRUKPY-TURZORIXSA-N)等一系列国际化标准标识符中,确保了其在全球科研领域的精准识别与交流。
作为高标准科研试剂的产品属性
为确保研究结果的可靠性,本产品C16-神经酰胺同样遵循高标准的质量控制,其纯度经分析验证大于99%(>99%)。它以纯净的固态形式提供,并因其生物活性分子的特性,要求在冷冻条件下储存以保证长期稳定性。科研人员可根据实验需求选择10毫克或25毫克的规格,并可依据附带的质检证书追溯其详细分析数据。
核心生物学功能与科研应用
C16-神经酰胺的核心价值在于其内源性与多样性功能。与主要用于诱导凋亡的实验工具C2-神经酰胺不同,C16-神经酰胺在体内由鞘氨醇与棕榈酰辅酶A在神经酰胺合酶的作用下天然生成,是细胞膜脂质双层和脂筏结构的重要构成部分。
1.细胞膜的structural组分与屏障:作为长链神经酰胺,它具有极强的疏水性,能紧密地嵌入细胞膜的脂质双层中,不仅参与形成膜的物理屏障,其独特的圆锥形分子结构还有助于形成局部的膜微域(脂筏),从而影响膜蛋白的定位与功能。
2.关键的细胞信号信使:C16-神经酰胺是细胞内重要的第二信使。在细胞面临各种应激(如氧化应激、DNA损伤、炎症因子)时,其内源性水平会特异性升高,进而参与调控一系列关键的细胞进程:
*细胞周期与凋亡:它能够抑制细胞增殖,并在特定条件下促进细胞程序性死亡。
*细胞衰老:研究发现,C16-神经酰胺在诱导和维持细胞衰老状态中扮演重要角色。
*胰岛素抵抗:在代谢性疾病中,骨骼肌和肝脏细胞内C16-神经酰胺的积累被证实与胰岛素信号通路受阻密切相关。
*自噬:它也参与调节细胞自噬过程,影响细胞的自我更新与存活。
3.疾病研究中的意义:由于其在代谢和应激响应中的核心作用,C16-神经酰胺已成为肥胖、II型糖尿病、非酒精性脂肪肝以及动脉粥样硬化等代谢性疾病研究中的焦点分子。同时,它在癌细胞对化疗药物的敏感性调节中也发挥着复杂的作用。
作为Larodan 在中国区总代理,艾美捷科技有限公司将为中国客户提供全面的Larodan 产品以及客户订制化服务,欢迎大家随时联系我们。
微信扫码在线客服