在鞘脂生物学研究领域,结构明确的活性分子是揭示复杂代谢通路的关键。N-甘氨酰溶神经酰胺三己糖苷(产品号56-1071,CAS号1360882-59-2)正是这样一种经过精准设计的鞘脂衍生物,以其明确的结构特征和独特的生物学性质,成为探索鞘脂相关生理过程与疾病机制的重要工具。

作为Larodan在中国的区域总代理,艾美捷科技强烈推荐Larodan热销产品N-甘氨酰溶神经酰胺三己糖苷。产品仅用于科研,不可用于临床诊断。
| 产品名称 | 货号 | 详情 |
| N-甘氨酰溶神经酰胺三己糖苷 | 56-1071-1 | 查看 |
精准的分子结构与化学特性
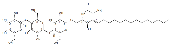
该化合物的分子结构展现出精密的化学修饰特征。其分子式为C??H??N?O??,分子量为842.97,具有完全确定的化学组成。与天然鞘脂相比,其最显著的特征在于神经酰胺部分的修饰:脂肪酸链被移除,同时在鞘氨醇骨架上引入了一个甘氨酸基团(通过酰胺键连接)。
这种设计产生了两个重要后果:首先,"溶"(lyso)状态使其亲水性增强,更易于在水性环境中溶解和操作;其次,甘氨酰基的引入不仅提高了分子的稳定性,还可能影响其与特定酶或受体的相互作用。CAS索引名详细描述了其立体化学构型(1S,2R,3E),确保了这一合成分子在空间结构上的精确性。
独特的生物学功能与机制
作为鞘脂代谢通路中的工程化分子,N-甘氨酰溶神经酰胺三己糖苷在研究中展现出独特价值:
代谢研究的参照标准
由于缺乏脂肪酸链,该分子能够绕过天然鞘脂代谢的某些限速步骤,直接参与下游代谢过程。研究人员利用这一特性,可以更清晰地追踪三己糖苷鞘脂在细胞内的代谢命运,解析相关酶促反应的动力学参数。
酶学研究的理想底物
该分子可作为特定糖苷酶或酰胺水解酶的专一性底物。其甘氨酰修饰可能改变酶-底物识别特性,为研究酶催化机制提供新的视角。在法布雷病等遗传性代谢疾病的研究中,这种特性尤为宝贵。
信号通路的调控探针
研究表明,溶鞘脂衍生物可能干扰天然鞘脂的信号功能。通过竞争性结合或变构调节,该分子可用于探索鞘脂介导的细胞信号网络,特别是在细胞分化、凋亡等过程中的作用机制。
在疾病研究中的应用前景
遗传性代谢疾病模型
在法布雷病研究中,该分子可作为疾病相关酶活性检测的内标物。其明确的化学结构确保了检测结果的可比性和准确性,为疾病诊断和严重程度评估提供可靠依据。
药物开发的有效工具
在治疗性酶替代疗法或底物减少疗法的开发过程中,该分子可作为体外筛选的重要工具。通过观察其在不同条件下的代谢变化,研究人员可以评估候选药物的效力和特异性。
膜生物学研究的化学探针
尽管缺乏完整的脂肪酸链,该分子仍保留着与天然鞘脂相似的三维空间特征,可用于研究糖鞘脂在膜微域组织、膜蛋白调控等方面的功能。
作为研究工具的技术优势
产品提供的1毫克规格(56-1071-1)充分考虑了该化合物作为研究工具的使用特点。其高纯度(>98%)、固态纯净物的形式,以及配备的分析证书,确保了实验数据的可靠性和可重复性。冷冻储存的要求则保证了这一娇贵化合物的长期稳定性。
在具体应用中,研究人员可利用该分子:
- 作为质谱分析的内标物,准确定量生物样本中的相关鞘脂
- 在细胞培养研究中,探究外源性鞘脂衍生物对细胞代谢的影响
- 建立体外酶活性检测体系,筛选调节鞘脂代谢的小分子化合物
Larodan 公司成立于 1963 年,坐落于瑞典斯德哥尔摩的卡罗林斯卡学院(诺贝尔奖委员会所在地)中,主要从事高纯度脂类的开发,制造和销售,产品包括脂肪酸,脂肪酸脂,甘油三酯,蜡脂,磷脂,鞘脂等,也提供稳定的放射性同位素化合物,NMR 消耗品和特种生化试剂以及环境和法医标准等,提供从ug 到 g 级包装,标准纯度高于99%。所有产品都附有分析证书,拥有很高的性价比。
作为Larodan 在中国区总代理,艾美捷科技有限公司将为中国客户提供全面的Larodan 产品以及客户订制化服务,欢迎大家随时联系我们。
微信扫码在线客服