十八酰基鞘氨醇三己糖苷(Octadecanoyl-ceramide trihexoside)是一种具有重要生物学意义的鞘糖脂,其CAS号为69283-33-6,产品编号为56-1043。该化合物在生物医学研究领域备受关注,特别是在细胞信号传导和疾病机制研究方面。本文将从其化学特性、结构特征及研究价值三个方面进行系统阐述。

作为Larodan在中国的区域总代理,艾美捷科技强烈推荐Larodan热销产品十八酰基鞘氨醇三己糖苷。产品仅用于科研,不可用于临床诊断。
| 产品名称 | 货号 | 详情 |
| 十八酰基鞘氨醇三己糖苷 | 56-1043-45 | 查看 |
一、化学特性与结构解析
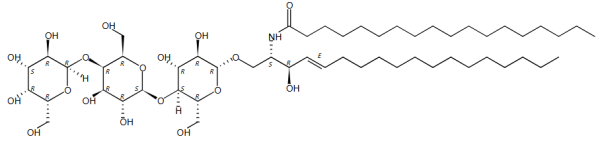
该化合物的分子式为C54H101NO18,分子量为1052.38,其结构包含三个关键部分:十八酰基鞘氨醇骨架、三糖单元和疏水尾链。三糖链由α-D-半乳吡喃糖基(1→4)-β-D-半乳吡喃糖基(1→4)-β-D-葡萄吡喃糖基通过特定的糖苷键连接而成,这种糖链排列使其具有良好的水溶性。疏水端包含一个十八碳饱和脂肪酸通过酰胺键与鞘氨醇连接,以及一个十七碳烯链(3E-构型),形成典型的两亲性分子结构。
从立体化学角度看,该分子包含多个手性中心,其空间构型可通过InChI键(KWGVNZWSEWAOMI-DHCJWVHISA-N)精确表征。这种特定的三维结构对其生物功能具有决定性影响。在物理性质方面,该化合物在常温下为固体,需要冷冻保存以确保稳定性。其高纯度(>99%)和"Neat"的供应形式使其成为理想的研究标准品。
二、生物学功能与研究进展
十八酰基鞘氨醇三己糖苷是细胞膜上重要的功能分子,在多个生物学过程中发挥关键作用:
1. 细胞识别与信号传导
该化合物作为Gb3(CD77)抗原的重要形式,在细胞间识别和信号转导中起重要作用。其糖链结构能够被特定受体识别,进而激活下游信号通路。
2. 疾病关联性研究
研究表明,该分子在法布里病(Fabry disease)的发病机制中具有重要意义。患者体内由于α-半乳糖苷酶A的缺乏,导致这类鞘糖脂在组织中异常沉积,引起多系统病变。
3. 病原体相互作用
某些病原体(如志贺毒素产生菌)的毒素蛋白能够特异性识别Gb3受体,这一相互作用是相关感染性疾病发生的重要分子基础。
三、应用前景与研究方向
随着研究技术的不断发展,十八酰基鞘氨醇三己糖苷在以下领域展现出广阔的应用前景:
1. 诊断试剂开发
作为法布里病等遗传性代谢疾病的重要生物标志物,该化合物可用于开发新型诊断试剂和检测方法。
2. 药物研发平台
通过对其结构进行合理修饰,可能开发出针对特定受体的抑制剂或激动剂,为相关疾病的治疗提供新策略。
3. 基础研究工具
在膜生物学、脂筏结构和功能研究中,该化合物可作为重要的分子探针,帮助揭示细胞膜的复杂生物学过程。
结语
十八酰基鞘氨醇三己糖苷作为鞘糖脂家族中的重要成员,其独特的化学结构和多样的生物学功能使其成为连接化学研究与生命科学的重要桥梁。随着单分子检测技术和结构生物学方法的进步,对此类化合物的深入研究将为我们理解生命过程的分子机制提供新的视角,并为相关疾病的诊断和治疗开辟新的途径。未来,基于这类化合物的研究有望在精准医疗和转化医学领域取得重要突破。
Larodan 公司成立于 1963 年,坐落于瑞典斯德哥尔摩的卡罗林斯卡学院(诺贝尔奖委员会所在地)中,主要从事高纯度脂类的开发,制造和销售,产品包括脂肪酸,脂肪酸脂,甘油三酯,蜡脂,磷脂,鞘脂等,也提供稳定的放射性同位素化合物,NMR 消耗品和特种生化试剂以及环境和法医标准等,提供从ug 到 g 级包装,标准纯度高于99%。所有产品都附有分析证书,拥有很高的性价比。
作为Larodan 在中国区总代理,艾美捷科技有限公司将为中国客户提供全面的Larodan 产品以及客户订制化服务,欢迎大家随时联系我们。

微信扫码在线客服