在糖生物学与细胞膜研究领域,复杂糖鞘脂的代谢动力学及其功能一直是科学家关注的焦点。C12NBD-乳糖基鞘氨醇(产品编号:39-5063)作为乳糖基神经酰胺(LacCer)的荧光类似物,通过其独特的长链设计,为研究复杂糖鞘脂的细胞内行为提供了更稳定、更可靠的解决方案。

作为Larodan在中国的区域总代理,艾美捷科技强烈推荐Larodan热销产品C12NBD-乳糖基鞘氨醇。产品仅用于科研,不可用于临床诊断。
| 产品名称 | 货号 | 详情 |
| C12NBD-乳糖基鞘氨醇 | 39-5063-41 | 查看 |
一、分子结构:精密设计的仿生探针
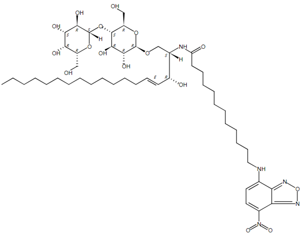
该化合物(CAS号:474943-06-1)具有复杂的分子结构(C48H81N5O16,分子量984.18),其设计体现了功能导向的精密考量:
1.乳糖基鞘氨醇骨架:核心结构为天然存在的β-D-乳糖基(半乳糖-葡萄糖二糖)通过糖苷键与鞘氨醇连接,完整保留了乳糖基神经酰胺的生物学识别特征。鞘氨醇链中的反式双键(3E)确保了其与天然鞘脂相似的膜整合特性。
2.C12-NBD长链标记系统:与C6版本相比,本探针采用12碳原子长度的连接臂将NBD荧光基团与鞘氨醇骨架相连。这种长链设计显著增强了探针的疏水性,使其能够更稳定地锚定在细胞膜脂双层中,有效减少了探针在活细胞成像过程中的翻转和交换。
二、产品特性与质量控制
本品秉承高标准质量要求:
-纯度:>98%,确保实验结果的准确性与可重复性
-储存条件:冷冻保存,维持长期稳定性
-物理形态:固态纯品
-规格:提供50?g包装(产品代码39-5063-41)
所有批次均附有分析证书,为研究提供质量保证。
三、科研应用与独特价值
C12NBD-乳糖基鞘氨醇在以下研究领域展现出独特优势:
复杂糖鞘脂代谢通路的可视化
作为合成超过400种复杂糖鞘脂的关键前体,乳糖基神经酰胺的代谢流向至关重要。本探针能够真实模拟内源性LacCer的代谢过程,使研究人员能够:
-实时追踪从LacCer到高级神经节苷脂的合成途径
-可视化糖鞘脂在高尔基体-质膜轴向上的运输动力学
-研究糖鞘脂代谢网络在细胞分化、转化过程中的重编程
膜微区动力学的长效观测
得益于C12长链提供的优异膜锚定能力,该探针特别适用于:
-长时间活细胞成像研究
-脂筏微区动态变化的定量分析
-囊泡运输与膜融合过程的持续追踪
疾病机制研究的可靠工具
在法布里病、癌症等与糖鞘脂代谢异常相关的疾病研究中,该探针为:
-建立疾病细胞模型提供特异性标记手段
-药物筛选平台提供稳定可靠的检测指标
-病理机制研究提供直观的观察窗口
Larodan 公司成立于 1963 年,坐落于瑞典斯德哥尔摩的卡罗林斯卡学院(诺贝尔奖委员会所在地)中,主要从事高纯度脂类的开发,制造和销售,产品包括脂肪酸,脂肪酸脂,甘油三酯,蜡脂,磷脂,鞘脂等,也提供稳定的放射性同位素化合物,NMR 消耗品和特种生化试剂以及环境和法医标准等,提供从ug 到 g 级包装,标准纯度高于99%。所有产品都附有分析证书,拥有很高的性价比。
作为Larodan 在中国区总代理,艾美捷科技有限公司将为中国客户提供全面的Larodan 产品以及客户订制化服务,欢迎大家随时联系我们。
微信扫码在线客服