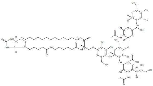
N-Hexanoyl-biotin-monosialoganglioside GM1(产品编号:39-4001)是一种精心设计的双功能分子,通过精确的化学结构将两种重要的生物分子有机结合,为细胞膜研究提供了强大工具。

作为Larodan在中国的区域总代理,艾美捷科技强烈推荐Larodan热销产品N-己酰基-生物素-单唾液酸神经节苷脂GM1。产品仅用于科研,不可用于临床诊断。
| 产品名称 | 货号 | 详情 |
N-己酰基-生物素-单唾液酸神经节苷脂GM1 | 39-4001-45 | 查看 |
分子结构与特性
该分子(CAS号:2692623-20-2)的化学式为C71H122N6O33S,分子量达1619.82道尔顿。其纯度超过99%,以固态形式在冷冻条件下保存,确保化学稳定性。从结构上看,这一分子包含两个关键功能模块:单唾液酸神经节苷脂GM1和生物素,二者通过已酰基连接臂巧妙连接。
GM1的生物学意义
GM1是细胞膜上重要的糖鞘脂,尤其在神经细胞中含量丰富。它以其复杂的寡糖结构伸出细胞膜表面,参与细胞识别、信号传导等重要生理过程。值得注意的是,GM1是霍乱毒素等多种病原体毒素的特异性受体,在感染过程中起关键作用。
生物素的检测优势
生物素作为维生素家族成员,在生物技术中具有独特价值。其与链霉亲和素的结合能力极强,结合常数高达10^14-15 M^-1,远超常规的抗原-抗体反应。这种特性使其成为生物检测中的“黄金标准”。
协同应用价值
N-Hexanoyl-biotin-GM1的创新之处在于将GM1的生物学功能与生物素的检测优势融为一体。研究人员可利用生物素部分作为“分子手柄”,通过链霉亲和素系统精确追踪GM1在细胞膜上的分布和动态。
这一设计在多个研究领域展现出重要价值:在神经科学中,可用于观察神经细胞膜上脂筏结构的形成和变化;在病原体研究中,能够实时监测毒素与受体的相互作用;在药物开发中,为筛选抑制剂提供了有效平台。
技术特点
相比传统检测方法,该分子具有灵敏度高、特异性强、稳定性好的优势。500微克的包装规格适合实验室开展系列研究,而详细的证书分析则为实验的标准化提供了保障。
总之,N-Hexanoyl-biotin-GM1代表了分子工程在生命科学研究中的成功应用,通过合理的结构设计,为探索细胞膜相关生理和病理过程提供了独特而强大的研究工具。
Larodan 公司成立于 1963 年,坐落于瑞典斯德哥尔摩的卡罗林斯卡学院(诺贝尔奖委员会所在地)中,主要从事高纯度脂类的开发,制造和销售,产品包括脂肪酸,脂肪酸脂,甘油三酯,蜡脂,磷脂,鞘脂等,也提供稳定的放射性同位素化合物,NMR 消耗品和特种生化试剂以及环境和法医标准等,提供从ug 到 g 级包装,标准纯度高于99%。所有产品都附有分析证书,拥有很高的性价比。
作为Larodan 在中国区总代理,艾美捷科技有限公司将为中国客户提供全面的Larodan 产品以及客户订制化服务,欢迎大家随时联系我们。

微信扫码在线客服