系列:筛选化合物,结构单元
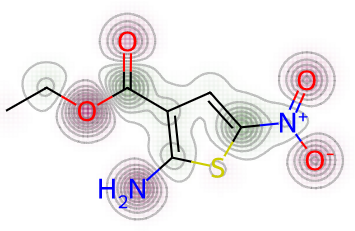
分子式:C7H8N2O4S
CAS登记号:42783-04-0
纯度:95%
状态:固体
IUPAC名称:2-氨基-5-硝基噻吩-3-甲酸乙酯
SMILES:CCOC(=O)c1cc(N+[O-])sc1N
InChi:InChI=1S/C7H8N2O4S/c1-2-13-7(10)4-3-5(9(11)12)14-6(4)8/h3H,2,8H2,1H3

LifeChemicals-2-氨基-5-硝基噻吩-3-羧酸乙酯物化参数:
货号:F0806-0087
分子量:216.22[范围:46.07...1702.72]
Fsp3:0.29[范围:0...1.00]
cLogP:2.21[范围:-11.42...28.50]
cLogSw:-3.42[范围:-19.49...5.44]
TPSA:95.46[范围:0...519.07]
氢键供体:1[范围:0...10]
氢键受体:5[范围:0...28]
可旋转键:4[范围:0...72]
芳香环:1[范围:0...16]
类药性:0.47[范围:0.02...0.95]
亚结构类似物
1.编号:F0806-0102
系列:筛选化合物
分子式:C14H11BrN2O5S
分子量:399.22
CAS:477490-78-1
纯度:90%
2.编号:F0806-0120
系列:筛选化合物
分子式:C18H19N3O7S2
分子量:453.49
CAS:397279-00-4
纯度:90%
3.编号:F0806-0098
系列:筛选化合物
分子式:C14H11BrN2O5S
分子量:399.22
CAS:477490-74-7
纯度:90%
4.编号:F0806-0090
系列:筛选化合物
分子式:C10H12N2O5S
分子量:272.28
CAS:477490-66-7
纯度:90%
微信扫码在线客服