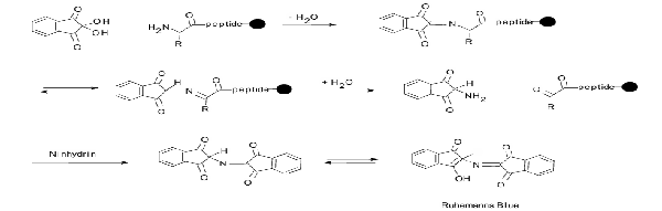
Ninhydrin(茚三酮)是一种经典的化学试剂,能够与游离的α-氨基基团发生脱氨反应,生成蓝色或者蓝紫色,从而实现对氨基酸、肽链末端的快速可视化检测。自20世纪50年代首次报道以来,Ninhydrin已广泛用于:氨基酸定量,固相肽合成(SPPS) 中的耦合完成检测。其操作简便、灵敏度高且无需专用仪器,因而在科研、质量控制和教学实验中拥有不可替代的地位。

Anaspec提供的茚三酮检测试剂盒(货号AS-25241,Ninhydrin Test Kit)以其三组分专利配方、高温快速显色以及双重颜色判读,在固相肽合成、氨基酸定量以及教学实验中提供了可靠、灵敏且操作简便的检测手段。30min见分晓,使用流程:
1. 取20-30颗树脂珠,置于干净的试管中。
2. 加入 Reagent1、2、3 各两滴(含Ninhydrin、碱性缓冲液与助剂)。
3. 将试管置于 120°C 加热3分钟。
4. 观察颜色:蓝色 →偶联未完成 ;无色→ 偶联完成

案例:茚三酮检测试剂盒(货号 AS-25241,Ninhydrin Test Kit)在肽合成中的实际使用
在Supramolecular stability of benzene-1,3,5-tricarboxamide supramolecular polymers in biological media: beyond the stability-responsiveness trade-off中,研究者在每一次氨基酸耦合后均使用 Anaspec 提供的 Ninhydrin Test Kit(货号 AS-25241)进行耦合完成度检测。该检测帮助研究者在多步合成过程中实时监控耦合效率,避免了未完成耦合导致的产物杂质,显著提升了目标超分子聚合物的纯度与收率。

为什么选择Anaspec的茚三酮检测试剂盒(货号 AS-25241,Ninhydrin Test Kit)?
| 供应商 | Anaspec | Merck |
| 货号 | AS-25241 | 60017 |
| 名称 | Ninhydrin Test Kit | Kaiser test kit |
| 反应时间 | 推荐120°C,反应时间 3min,快速完成 | 推荐 120°C,需加热 5min,耗时更长 |
| 颜色判读 | 明显的颜色指示,易区分 | 次级胺判读不够直观 |
Anaspec的茚三酮检测试剂盒(货号AS-25241,Ninhydrin Test Kit)以其三组分专利配方、高温快速显色以及双重颜色判读,在固相肽合成、氨基酸定量中提供了可靠、灵敏且操作简便的检测手段。
艾美捷科技:让世界级研究工具,触手可及!低成本,智启高效创新!
Anaspec——科研级多肽、GMP多肽原料与荧光检测试剂盒一体化方案商,深耕神经退行性疾病、肿瘤及代谢研究。
微信扫码在线客服