在生命科学的微观世界里,生物膜不仅是物理屏障,更是动态的生命活动中心。要精确研究发生在膜上的复杂过程,离不开结构明确、性质可控的标准化工具分子。1,2-二油酰-sn-甘油-3-磷酸丝氨酸钠盐(产品编号:38-1810,CAS号:90693-88-2)正是这样一种在膜生物学研究中扮演着核心角色的合成磷脂。其高纯度(>98%)与独特的结构设计,使其成为探索细胞信号、膜融合及药物递送等前沿领域的理想模型。

作为Larodan在中国的区域总代理,艾美捷科技强烈推荐Larodan热销产品1,2-二油酰-sn-甘油-3-磷酸丝氨酸钠盐。产品仅用于科研,不可用于临床诊断。
| 产品名称 | 货号 | 详情 |
1,2-二油酰-sn-甘油-3-磷酸丝氨酸钠盐 | 38-1810-13 | 查看 |
一、分子标识与结构特征
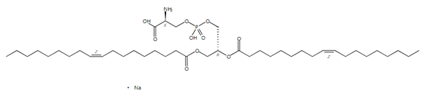
该化合物的脂质编号清晰地定义为PS(18:1(9Z)/18:1(9Z)),这一命名精确概括了其分子本质。分子式为C42H78NO10P·Na,分子量为811.03 g/mol。它以固体形态提供,需冷冻储存,并拥有高达1克的大包装规格,反映了其在科研中的广泛应用需求。
其分子结构是经典设计与生理相关性的完美结合:
*标准甘油骨架:遵循天然的*sn*-甘油立体构型,确保了其与生物体内磷脂的空间一致性。
*对称的不饱和酰基链:在*sn*-1和*sn*-2位上,均连接着油酰基。这是一种包含18个碳原子、并在第9位和第10位碳原子之间有一个顺式双键(9Z)的脂肪酸链。这个顺式双键在酰基链中引入了一个关键的“弯折”,从而阻止了分子在低温下的紧密堆积。
*功能性的极性头基:在*sn*-3位连接着磷酸丝氨酸头基,并以单钠盐形式存在。这个头基在生理条件下携带净负电荷,并且丝氨酸部分兼具氨基和羧基,使其成为蛋白质识别和结合的“热点”,是许多细胞信号通路的启动开关。
二、结构优势与研究价值
DOPS的核心优势源于其对称双不饱和链的独特设计,这使其在众多合成PS中具有不可替代的地位:
1. 卓越的膜流动性:两条油酰基链中的顺式双键,使得DOPS在生理温度乃至更低的温度下,都能维持其脂质双分子层处于液晶态。这种状态下的膜具有适当的流动性,最接近天然细胞膜的物理状态,为膜蛋白提供了正确折叠和发挥功能所必需的柔性环境。
2. 恒定的负电性平台:与天然提取的PS混合物不同,DOPS提供了结构绝对均一的负电性表面。这意味着在实验中,膜表面的电荷密度是精确且恒定的,这对于定量研究带正电的蛋白质、多肽或药物分子与膜的静电相互作用至关重要。
3. 高重现性的实验结果:其明确且单一的化学结构,确保了在不同实验室、不同批次实验中构建的模型膜系统具有高度一致的性质,极大提升了科研数据的可靠性和可重复性。
三、核心应用领域
凭借上述特性,DOPS在多个前沿科研与技术开发领域发挥着关键作用:
*膜蛋白功能研究:许多重要的信号蛋白,如蛋白激酶C,其激活必须依赖于膜表面PS提供的负电性界面。使用DOPS重建的脂质环境,可以高效地招募并激活这些蛋白,从而在体外精确解析其活化机制与调控规律。
*膜融合机制探索:细胞内的囊泡运输、神经递质释放等过程都涉及膜融合。DOPS因其头部基团的氢键形成能力与酰基链的高流动性,被证明能显著促进膜融合过程。因此,它成为研究突触小泡融合 等生命过程的必备组分。
*细胞凋亡的信号模拟:在细胞凋亡时,PS会从细胞膜的内侧翻转到外侧,作为一个“吃我”信号被免疫细胞识别。在实验室中,将DOPS掺入脂质体的外层,可以完美地模拟这一过程,用于研究巨噬细胞等对凋亡细胞的识别与清除机制。
*药物递送系统的构建:在脂质体药物载体的设计中,DOPS作为负电性磷脂,可以用于调节脂质体表面电荷,防止其被机体快速清除,或用于增强与特定带正电靶标(如某些肿瘤细胞表面)的相互作用,提高药物的靶向性和递送效率。
Larodan 公司成立于 1963 年,坐落于瑞典斯德哥尔摩的卡罗林斯卡学院(诺贝尔奖委员会所在地)中,主要从事高纯度脂类的开发,制造和销售,产品包括脂肪酸,脂肪酸脂,甘油三酯,蜡脂,磷脂,鞘脂等,也提供稳定的放射性同位素化合物,NMR 消耗品和特种生化试剂以及环境和法医标准等,提供从ug 到 g 级包装,标准纯度高于99%。所有产品都附有分析证书,拥有很高的性价比。
作为Larodan 在中国区总代理,艾美捷科技有限公司将为中国客户提供全面的Larodan 产品以及客户订制化服务,欢迎大家随时联系我们。

微信扫码在线客服